气力输送系统到底是什么?不了解的同学肯定有很多疑惑,本����� �������Ƴ������������ �������Ƴ������������ �������Ƴ������������ �������Ƴ�������文从
气力输送的介绍,到气力输送的设计统统都有解答����� �������Ƴ������������ �������Ƴ������������ �������Ƴ������������ �������Ƴ�������,无论是正压气力输送或者是负压气力输送,无论����� �������Ƴ������������ �������Ƴ������������ �������Ƴ������������ �������Ƴ�������是
稀相气力输送伙食
浓相气力输送,更或者正负压结合浓稀相结合的气力输送,希望����� �������Ƴ������������ �������Ƴ������������ �������Ƴ������������ �������Ƴ�������能给大家带来更深的理解。首先本文内容是搬运外网����� �������Ƴ������������ �������Ƴ����������� �������Ƴ������������ �������Ƴ������
气力输送系统论文内容结合
引持环保实际情况加以翻译整理改编而成。因工作量巨大����� �������Ƴ������������ �������Ƴ����������� �������Ƴ������������ �������Ƴ�������,部分内容可能与实际不服。部分����� �������Ƴ������������ �������Ƴ������������ �������Ƴ������������ �������Ƴ�������翻译也可能有误,文末我会贴出原文地址����� �������Ƴ������������ �������Ƴ������������ �������Ƴ������������ �������Ƴ�������请大家结合原文与自身情况理解。有关于气力����� �������Ƴ������������ �������Ƴ������������ �������Ƴ������������ �������Ƴ�������输送的设计和设备需求请联����� �������Ƴ������������ �������Ƴ����������� �������Ƴ������������ �������Ƴ�������系山东
引持环保设备有限公司,电话号:18366167878
什么是气力输送系统?
气力输送系统是利用气流作为输送介质,将散装
物料从一个或多个来源输送到一����� �������Ƴ����������� �������Ƴ������������ �������Ƴ������������ �������Ƴ������个或多个目的地的过程。空气是最常用的气体,但����� �������Ƴ������������ �������Ƴ������������ �������Ƴ������������ �������Ƴ�������不能与活性物质或有粉尘爆炸威胁的地方一起使用。����� �������Ƴ������������ �������Ƴ������������ �������Ƴ����������� �������Ƴ�������与其它机械输送系统(带式输送机、螺旋输����� �������Ƴ������������ �������Ƴ������������ �������Ƴ������������ �������Ƴ������送机、振动输送机、曳引输送机和其他方法)����� �������Ƴ������������ �������Ƴ������������ �������Ƴ������������ �������Ƴ�������相比,设计良好的气力输送系统通常是一种更实用����� �������Ƴ������������ �������Ƴ������������ �������Ƴ������������ �������Ƴ�������、更经济的粉粒体
物料的运输方法,因为以下三个主要原因:
1.首先,气力输送系统操作简单并且价格����� �������Ƴ������������ �������Ƴ������������ �������Ƴ������������ �������Ƴ�������相对比较便宜。
2.第二,气力输送系统是全封闭的,由于是封闭的����� �������Ƴ������������ �������Ƴ������������ �������Ƴ������������ �������Ƴ�������,这些相对其他的物料输送系统����� �������Ƴ����������� �������Ƴ������������ �������Ƴ������������ �������Ƴ�������更清洁,更环保,且易于维����� �������Ƴ������������ �������Ƴ������������ �������Ƴ������������ �������Ƴ�������护。
3.第三,气力输送系统在改造和扩展方面����� �������Ƴ������������ �������Ƴ������������ �������Ƴ������������ �������Ƴ�������很灵活。气力输送系统几乎可以将产品输送到管����� �������Ƴ������������ �������Ƴ������������ �������Ƴ������������ �������Ƴ�������道所能到达的任何地方。
气力输送可用于颗粒大小不等的粉体、球团����� �������Ƴ������������ �������Ƴ������������ �������Ƴ����������� �������Ƴ�������和容重为16 ~ 3200 ����� �������Ƴ������������ �������Ƴ������������ �������Ƴ������������ �������Ƴ�������kg/m(1 ~ 200����� �������Ƴ������������ �������Ƴ������������ �������Ƴ����������� �������Ƴ������� lb/ft)的颗粒。一般来说,气力����� �������Ƴ������������ �������Ƴ����������� �������Ƴ������������ �������Ƴ�������输送适用于直径3厘米以下的颗粒,典型����� �������Ƴ������������ �������Ƴ������������ �������Ƴ������������ �������Ƴ�������密度为3厘米。我们所说的“����� �������Ƴ������������ �������Ƴ������������ �������Ƴ������������ �������Ƴ�������典型密度”是指3厘米的聚合物树脂颗粒等较����� �������Ƴ����������� �������Ƴ����������� �������Ƴ������������ �������Ƴ�������轻的物质可以通过气力输送移动,而3厘米的铅球则不����� �������Ƴ������������ �������Ƴ������������ �������Ƴ������������ �������Ƴ�������能。
气力输送类型
利用气力输送输送材料有几种����� �������Ƴ������������ �������Ƴ������������ �������Ƴ������������ �������Ƴ�������方法。一般来说,它们似乎可以����� �������Ƴ������������ �������Ƴ������������ �������Ƴ������������ �������Ƴ�������分为三大类:稀相、浓相和空气输����� �������Ƴ����������� �������Ƴ������������ �������Ƴ������������ �������Ƴ�������送。
1.稀相气力输送是通过保持足够的气流����� �������Ƴ������������ �������Ƴ������������ �������Ƴ������������ �������Ƴ�������速度,将悬浮在空气中的物料从一个位置推或拉到另一����� �������Ƴ����������� �������Ƴ������������ �������Ƴ������������ �������Ƴ�������个位置的过程。稀相输送本质上是一个连续的过����� �������Ƴ������������ �������Ƴ������������ �������Ƴ����������� �������Ƴ�������程,具有速度快、压力低、
料气比低等特点。
2.密相气力输送依靠空气脉冲迫使����� �������Ƴ������������ �������Ƴ������������ �������Ƴ����������� �������Ƴ�������一段材料从一个位置到另一个位置。浓相系统本质上是����� �������Ƴ������������ �������Ƴ������������ �������Ƴ������������ �������Ƴ�������一种间歇过程,具有低速、高压、料气比高的����� �������Ƴ����������� �������Ƴ������������ �������Ƴ������������ �������Ƴ�������特点。
3.气动重力输送是在气垫上沿输送机输送产����� �������Ƴ������������ �������Ƴ������������ �������Ƴ������������ �������Ƴ�������品的一种方式。
本文主要概述浓相和稀相输送的区别����� �������Ƴ������������ �������Ƴ������������ �������Ƴ������������ �������Ƴ�������特征。详细论述了稀相气力输送系统和浓相气力输送����� �������Ƴ����������� �������Ƴ������������ �������Ƴ������������ �������Ƴ�������系统的设计方法。
稀相气力输送输送系统
稀相气力输送是输送物料最常用的方法。
这个过程使用相对大量的空����� �������Ƴ������������ �������Ƴ������������ �������Ƴ����������� �������Ƴ�������气来输送相对少量的材料,并且比����� �������Ƴ������������ �������Ƴ������������ �������Ƴ������������ �������Ƴ�������密相系统的压力更低。材料在����� �������Ƴ������������ �������Ƴ������������ �������Ƴ������������ �������Ƴ�������空气中悬浮的同时,通过系统高速����� �������Ƴ������������ �������Ƴ������������ �������Ƴ������������ �������Ƴ�������运输。
它通常被称为悬浮流,因为粒子在����� �������Ƴ������������ �������Ƴ������������ �������Ƴ������������ �������Ƴ�������空气中被悬浮着,当它们被吹或����� �������Ƴ������������ �������Ƴ������������ �������Ƴ������������ �������Ƴ�������吸过管道时。为了使物料保持悬浮状����� �������Ƴ������������ �������Ƴ������������ �������Ƴ������������ �������Ƴ�������态,有必要保持最小的输送空气速度,对����� �������Ƴ������������ �������Ƴ����������� �������Ƴ������������ �������Ƴ�������于大多数物料来说,这个速度大约是2500 - 6����� �������Ƴ����������� �������Ƴ������������ �������Ƴ����������� �������Ƴ�������000 fpm(约10-����� �������Ƴ������������ �������Ƴ������������ �������Ƴ������������ �������Ƴ������30m/s)。
稀相气力输送系统体系的特征是:
•高速输送,每分钟3200到8000英尺(约1����� �������Ƴ������������ �������Ƴ������������ �������Ƴ������������ �������Ƴ�������000-2500米)
•工作压力在5-12 PSI����� �������Ƴ������������ �������Ƴ������������ �������Ƴ������������ �������Ƴ�������G(正)或4- 12”Hg的负压力范围内
•高空气与固体的负载比(> ����� �������Ƴ������������ �������Ƴ������������ �������Ƴ������������ �������Ƴ�������2.0)
用稀相系统输送的物质范围几乎����� �������Ƴ������������ �������Ƴ������������ �������Ƴ������������ �������Ƴ�������没有限制。通常以稀相体系输送的产品包����� �������Ƴ������������ �������Ƴ������������ �������Ƴ������������ �������Ƴ�������括面粉、树脂、特殊化学品、����� �������Ƴ����������� �������Ƴ������������ �������Ƴ������������ �������Ƴ������饲料、颗粒状和托盘状产品。在各种类型的气����� �������Ƴ������������ �������Ƴ������������ �������Ƴ������������ �������Ƴ�������力输送系统中,稀相系统的成本通常是最低的����� �������Ƴ������������ �������Ƴ������������ �������Ƴ������������ �������Ƴ������。
稀相气力输送系统限制
需要一个相对较高的风量和速度:所以功率要求也很高����� �������Ƴ������������ �������Ƴ������������ �������Ƴ������������ �������Ƴ������。较高的气流速度将有以下其他缺����� �������Ƴ������������ �������Ƴ������������ �������Ƴ������������ �������Ƴ�������点:
1.由于该产品对管道的磨损要大得多,因此该系����� �������Ƴ������������ �������Ƴ����������� �������Ƴ������������ �������Ƴ�������统不适用于易降解和/或具有研磨性质的材����� �������Ƴ����������� �������Ƴ������������ �������Ƴ������������ �������Ƴ������料。
2.产品可能会变形或被压碎,����� �������Ƴ����������� �������Ƴ����������� �������Ƴ������������ �������Ƴ�������因此不建议将此工艺用于易����� �������Ƴ������������ �������Ƴ������������ �������Ƴ������������ �������Ƴ�������碎产品。
稀相体系的类型
稀释相系统的设计方法有三种:
1.正压稀相气力输送系统����� �������Ƴ������������ �������Ƴ������������ �������Ƴ������������ �������Ƴ�������
2.负压或真空稀相气力输送系统
3.正负压结合气力输送系统的组合
正压-稀相
正压系统在大气压以上运行,用于将散装粉体材����� �������Ƴ������������ �������Ƴ����������� �������Ƴ������������ �������Ƴ������料从单一或多个来源输送到����� �������Ƴ������������ �������Ƴ����������� �������Ƴ����������� �������Ƴ�������一个或多个目的地,输送距离适中,比真����� �������Ƴ����������� �������Ƴ������������ �������Ƴ������������ �������Ƴ�������空负压气力输送系统输送能力更大。一个典型的正压稀����� �������Ƴ������������ �������Ƴ������������ �������Ƴ������������ �������Ƴ�������相系统由一个
旋转供料器组成;包括长半径加固弯头的����� �������Ƴ������������ �������Ƴ������������ �������Ƴ������������ �������Ƴ�������管道工程;
布袋除尘器或旋风除尘器。
安排;以及罗茨鼓风机。下面的示����� �������Ƴ������������ �������Ƴ������������ �������Ƴ������������ �������Ƴ�������意图
稀相输送正压系统
稀相气力输送系统是通过一种特殊的给料装置(通����� �������Ƴ������������ �������Ƴ������������ �������Ƴ������������ �������Ƴ�������常是旋转供料器和文丘里管/����� �������Ƴ������������ �������Ƴ������������ �������Ƴ����������� �������Ƴ�������或者叫加速室)进入压力较高的输送����� �������Ƴ������������ �������Ƴ������������ �������Ƴ����������� �������Ƴ�������管道。物料经常悬浮在气流中����� �������Ƴ������������ �������Ƴ������������ �������Ƴ������������ �������Ƴ�������,根据颗粒大小和密度以相对较高的速度移动。悬����� �������Ƴ������������ �������Ƴ����������� �������Ƴ������������ �������Ƴ�������浮物-空气气流在终端通过脉冲布袋除尘����� �������Ƴ������������ �������Ƴ����������� �������Ƴ������������ �������Ƴ�������器分离,或直接进入工艺容器,这些容器被排放到下游����� �������Ƴ������������ �������Ƴ����������� �������Ƴ������������ �������Ƴ�������的除尘装置。
在这种类型的系统中,材料不通����� �������Ƴ������������ �������Ƴ����������� �������Ƴ������������ �������Ƴ�������过罗茨鼓风机。这样做有两个好处。首先,
罗茨风机叶轮不会损坏材料。其次,
罗茨风机不会受到材料的任何磨损。气力输送系统����� �������Ƴ������������ �������Ƴ������������ �������Ƴ������������ �������Ƴ�������通常在连续的基础上运行——在起始点����� �������Ƴ������������ �������Ƴ������������ �������Ƴ������������ �������Ƴ�������不断地提供产品,并且不间断����� �������Ƴ������������ �������Ƴ������������ �������Ƴ������������ �������Ƴ�������且均匀地到达目的地。这使得这种类型的系统很容����� �������Ƴ������������ �������Ƴ������������ �������Ƴ������������ �������Ƴ�������易适应剂量和连续称重的应用����� �������Ƴ������������ �������Ƴ������������ �������Ƴ������������ �������Ƴ�������。
稀相气力输送系统的应用范围
稀相气力输送特别适用于从单一或多个����� �������Ƴ������������ �������Ƴ����������� �������Ƴ������������ �������Ƴ�������源到单一或多个目的地,在中长距离输����� �������Ƴ������������ �������Ƴ������������ �������Ƴ������������ �������Ƴ������送低至中等容量物料的系统。例如水泥、粉����� �������Ƴ������������ �������Ƴ������������ �������Ƴ����������� �������Ƴ������煤灰、食品、树脂和干法化学品都是可以用����� �������Ƴ������������ �������Ƴ����������� �������Ƴ������������ �������Ƴ�������这种方法成功运输的物料。
正压稀相气力输送规格
输送量 : 从低到高,一般在每����� �������Ƴ������������ �������Ƴ������������ �������Ƴ������������ �������Ƴ�������小时<1到50吨之间
传递速度:不超2000米
传递距离:不超40米
气源选择:罗茨鼓风机
操作压力:14.7 psig
料气比:> 2.0
负压-稀相
负压输送系统是指在大气压以下的空气����� �������Ƴ������������ �������Ƴ������������ �������Ƴ������������ �������Ƴ�������压力下运行的输送系统。负压气力输送系统����� �������Ƴ������������ �������Ƴ����������� �������Ƴ������������ �������Ƴ�������(真空)通常用于将材料从多个来源(如储罐、工艺����� �������Ƴ������������ �������Ƴ������������ �������Ƴ������������ �������Ƴ�������设备、卡车和火车车厢)输送到单个或多个目的地。����� �������Ƴ������������ �������Ƴ������������ �������Ƴ������������ �������Ƴ�������
负压系统通常使用罗茨鼓风机,提供高达50%的真����� �������Ƴ������������ �������Ƴ������������ �������Ƴ������������ �������Ƴ�������空度,通过管道将物料输送到目的地,在那����� �������Ƴ������������ �������Ƴ������������ �������Ƴ����������� �������Ƴ�������里,空气和产品通过过滤器或旋����� �������Ƴ������������ �������Ƴ������������ �������Ƴ������������ �������Ƴ�������风分离器被分离到接收容器中����� �������Ƴ������������ �������Ƴ������������ �������Ƴ������������ �������Ƴ������。产品直接进入输送管道,如果需要����� �������Ƴ������������ �������Ƴ������������ �������Ƴ������������ �������Ƴ�������计量,可通过特殊的给料装置,如旋转供����� �������Ƴ������������ �������Ƴ������������ �������Ƴ������������ �������Ƴ������料器。所输送的产品通过旋����� �������Ƴ������������ �������Ƴ������������ �������Ƴ������������ �������Ƴ�������转供料器或其他阀门间歇地从接收容器����� �������Ƴ������������ �������Ƴ����������� �������Ƴ������������ �������Ƴ������排放到料仓或其他排放点。
在真空气力输送中,没有运动部件接触物����� �������Ƴ������������ �������Ƴ������������ �������Ƴ������������ �������Ƴ�������料,也没有粉尘逸入大气。由于这种优越的防泄漏����� �������Ƴ������������ �������Ƴ����������� �������Ƴ������������ �������Ƴ�������能力,它们通常是在清洁的����� �������Ƴ������������ �������Ƴ������������ �������Ƴ������������ �������Ƴ�������基础上指定的,特别是在处理����� �������Ƴ������������ �������Ƴ����������� �������Ƴ������������ �������Ƴ�������危险材料时。
负压气力输送系统的缺点是,如果负载高或系����� �������Ƴ����������� �������Ƴ������������ �������Ƴ������������ �������Ƴ������统输送距离比较远时,部件必须为����� �������Ƴ������������ �������Ƴ������������ �������Ƴ����������� �������Ƴ�������高真空设计。这增加了整套气力输送����� �������Ƴ������������ �������Ƴ����������� �������Ƴ������������ �������Ƴ������系统的成本,在比较运输方����� �������Ƴ������������ �������Ƴ������������ �������Ƴ������������ �������Ƴ�������法时必须加以考虑。
负压气力输送系统的应用领域
真空输送系统特别适用于从多个地点到单一目的地的����� �������Ƴ����������� �������Ƴ������������ �������Ƴ������������ �������Ƴ������中距离输送低容量到中等容量物料的系统。这些����� �������Ƴ������������ �������Ƴ������������ �������Ƴ����������� �������Ƴ�������系统是通用的,适用于不同的材料和低操作压力允许更����� �������Ƴ������������ �������Ƴ������������ �������Ƴ������������ �������Ƴ�������低的成本管道和配件。这种方法经常用于中央真空清洗����� �������Ƴ������������ �������Ƴ������������ �������Ƴ����������� �������Ƴ�������系统和其他需要通过网状真空管道将产品输送到����� �������Ƴ������������ �������Ƴ������������ �������Ƴ������������ �������Ƴ�������单一收集点的应用场合。
负压气力输送规格
输送量:低至中等,一般&����� �������Ƴ������������ �������Ƴ������������ �������Ƴ����������� �������Ƴ������lt;10吨/小时
传达速度:通常3000 - 8000 fp����� �������Ƴ������������ �������Ƴ������������ �������Ƴ������������ �������Ƴ������m
传输距离:100米或更长
搬运工:罗茨鼓风机(罗茨真空泵)
操作压力:高达50%的真空
空气/材料比率:> 2.0
组合正负压稀相
这种拉-推系统结合了在一个单一系����� �������Ƴ����������� �������Ƴ������������ �������Ƴ������������ �������Ƴ�������统的正负压力安排的优点和好处。这些系统用����� �������Ƴ������������ �������Ƴ������������ �������Ƴ������������ �������Ƴ�������于有多个材料入口点和多个交货点的地����� �������Ƴ������������ �������Ƴ������������ �������Ƴ������������ �������Ƴ�������方。一个非常常见的应用是卸载一个标准的有轨电����� �������Ƴ������������ �������Ƴ������������ �������Ƴ������������ �������Ƴ�������车。由于汽车不能加压,空气从外面被拉出来,通过汽����� �������Ƴ������������ �������Ƴ������������ �������Ƴ������������ �������Ƴ�������车(携带固体物质)进入过滤器。过滤后,用吹风����� �������Ƴ������������ �������Ƴ������������ �������Ƴ������������ �������Ƴ�������机将固体颗粒输送到最终接����� �������Ƴ������������ �������Ƴ������������ �������Ƴ������������ �������Ƴ�������收装置。如果最后的接收器就在火����� �������Ƴ������������ �������Ƴ������������ �������Ƴ������������ �������Ƴ�������车车厢卸货的旁边,那么使用完整的真空系统是可行����� �������Ƴ������������ �������Ƴ������������ �������Ƴ������������ �������Ƴ�������的。
哪个系统更好-正压还是负压?
负压气力输送比正压气力输送输����� �������Ƴ������������ �������Ƴ����������� �������Ƴ������������ �������Ƴ�������送距离短,因为压力高功率大所以功耗����� �������Ƴ������������ �������Ƴ������������ �������Ƴ������������ �������Ƴ������也比较大,一般非特殊要求不建议使用负压����� �������Ƴ������������ �������Ƴ������������ �������Ƴ����������� �������Ƴ�������气力输送
设计目标
新项目:新项目的设计目标是����� �������Ƴ������������ �������Ƴ������������ �������Ƴ������������ �������Ƴ�������确保在一定距离内以规定的流量输送能����� �������Ƴ������������ �������Ƴ������������ �������Ƴ������������ �������Ƴ�������力。输送能力通常用物料流量的吨/小时(T����� �������Ƴ������������ �������Ƴ������������ �������Ƴ������������ �������Ƴ�������PH)来表示。
扩建/改造项目:首要考虑的是找到一种方����� �������Ƴ������������ �������Ƴ������������ �������Ƴ������������ �������Ƴ�������法,以输送风量和/或管道压力的最����� �������Ƴ������������ �������Ƴ������������ �������Ƴ������������ �������Ƴ�������小增量来处理增加的容量(TPH)。
气力输送系统的设计和选择要考虑许多参数,如����� �������Ƴ������������ �������Ƴ������������ �������Ƴ������������ �������Ƴ�������输送物料的性质、输送的过程等
速度和输送距离。研究这些因素之间的����� �������Ƴ����������� �������Ƴ������������ �������Ƴ������������ �������Ƴ�������关系,可以看出改变一个因素����� �������Ƴ������������ �������Ƴ������������ �������Ƴ����������� �������Ƴ�������会怎样改变其他因素。两种基本关系是:
1.输送能力与输送距离成反比
2.输送压力与输送距离成正比
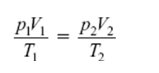
气力输送中压力-体积关系
空气是可压缩的,当材料沿着管����� �������Ƴ������������ �������Ƴ������������ �������Ƴ����������� �������Ƴ������道的长度输送时,压力会降低,体����� �������Ƴ������������ �������Ƴ������������ �������Ƴ������������ �������Ƴ�������积流量会增加。空气的情况可以用����� �������Ƴ������������ �������Ƴ����������� �������Ƴ������������ �������Ƴ�������基本的热力学方程来模拟:

在哪里
•p是气压(psi)
•V,空气流量(cfm)
•T,空气温度(K)和
下标1和下标2与管道中的不����� �������Ƴ������������ �������Ƴ����������� �������Ƴ������������ �������Ƴ�������同点有关。
如果可以认为沿管道长度的温����� �������Ƴ������������ �������Ƴ������������ �������Ƴ������������ �������Ƴ�������度是恒定的,则可归结为:����� �������Ƴ������������ �������Ƴ������������ �������Ƴ����������� �������Ƴ�������
这个方程告诉我们,当压力从上升点沿直线下降到排出����� �������Ƴ������������ �������Ƴ������������ �������Ƴ������������ �������Ƴ�������点时,空气体积会膨胀,因此体积(或速度)����� �������Ƴ������������ �������Ƴ������������ �������Ƴ������������ �������Ƴ�������会不断增加。
气力输送中风量-速度关系����� �������Ƴ������������ �������Ƴ������������ �������Ƴ������������ �������Ƴ�������
对于任何给定的物料,都有一个最小����� �������Ƴ������������ �������Ƴ������������ �������Ƴ������������ �������Ƴ�������的输送速度来输送物料,因此����� �������Ƴ������������ �������Ƴ����������� �������Ƴ������������ �������Ƴ�������,气流速度(体积)将取决于管道的大小����� �������Ƴ������������ �������Ƴ����������� �������Ƴ������������ �������Ƴ�������。气流速度关系由以下方程决����� �������Ƴ������������ �������Ƴ������������ �������Ƴ������������ �������Ƴ�������定:
V =ρ* * V
在哪里
•V =体积空气流量,单位ft/min ����� �������Ƴ������������ �������Ƴ������������ �������Ƴ������������ �������Ƴ�������(cfm)
3
•ρ=空气密度(磅/英尺)
3
A =输送管道面积ft2
v =输送速度,单位ft/min (fpm)
或

因此,实际速度是在压力和温度����� �������Ƴ������������ �������Ƴ������������ �������Ƴ������������ �������Ƴ������条件下单位截面面积的空管道的体积流量,通常用����� �������Ƴ������������ �������Ƴ������������ �������Ƴ������������ �������Ƴ�������英尺每分钟(fpm)表示。
建立平滑速度剖面
由式(PV= PV)可知,随着压力从采����� �������Ƴ������������ �������Ƴ������������ �������Ƴ������������ �������Ƴ�������集点到放电点的直线下降,空气����� �������Ƴ������������ �������Ƴ������������ �������Ƴ������������ �������Ƴ������体积增大,体积(或速度)不断����� �������Ƴ������������ �������Ƴ������������ �������Ƴ������������ �������Ƴ�������增大。11 22对于内径恒定的单孔管道也是如此。����� �������Ƴ������������ �������Ƴ������������ �������Ƴ������������ �������Ƴ�������为了保持速度剖面接近恒定,我们需要不断����� �������Ƴ������������ �������Ƴ����������� �������Ƴ����������� �������Ƴ�������增加管道面积。有了这个想����� �������Ƴ������������ �������Ƴ������������ �������Ƴ������������ �������Ƴ�������法,我们可以说,在一个理想的世界����� �������Ƴ����������� �������Ƴ������������ �������Ƴ������������ �������Ƴ������里,如果我们有一个管道是锥形的,����� �������Ƴ������������ �������Ƴ������������ �������Ƴ����������� �������Ƴ�������那么这个锥形的速率和压力-体积关系的变化����� �������Ƴ������������ �������Ƴ������������ �������Ƴ������������ �������Ƴ�������速率是一样的;我们可以有效地保持速度不变。下图反����� �������Ƴ������������ �������Ƴ������������ �������Ƴ������������ �������Ƴ�������映了这一思想;
锥形管是不实用的,作为替代,我们可����� �������Ƴ������������ �������Ƴ������������ �������Ƴ������������ �������Ƴ�������以从“阶梯线”来实现这个目标。阶梯式管道是一����� �������Ƴ������������ �������Ƴ������������ �������Ƴ������������ �������Ƴ�������种连续的管道,其中输送管道的直径在其长度沿����� �������Ƴ������������ �������Ƴ������������ �������Ƴ������������ �������Ƴ������线的点上发生变化,通常是一个更大的孔。其目����� �������Ƴ������������ �������Ƴ������������ �������Ƴ������������ �������Ƴ�������的是使输送空气的体积流量随压力的变化而变����� �������Ƴ������������ �������Ƴ������������ �������Ƴ������������ �������Ƴ�������化,而不使速度在任何时刻都低于输送空气速����� �������Ƴ������������ �������Ƴ������������ �������Ƴ������������ �������Ƴ�������度的最小值。这有时被称为伸缩管����� �������Ƴ������������ �������Ƴ������������ �������Ƴ������������ �������Ƴ�������道。
这对降低末端速度,提高气力输送系统的整体效率����� �������Ƴ������������ �������Ƴ������������ �������Ƴ������������ �������Ƴ�������和生产率具有重要意义。
材料的速度
在稀相气力输送系统输送时,颗粒悬浮在空气����� �������Ƴ������������ �������Ƴ������������ �������Ƴ������������ �������Ƴ�������中,其输送原理是一种阻力。因此,颗粒的速����� �������Ƴ������������ �������Ƴ������������ �������Ƴ������������ �������Ƴ�������度将低于输送空气的速度。物质速度的测量是一个复����� �������Ƴ������������ �������Ƴ������������ �������Ƴ������������ �������Ƴ�������杂而困难的过程,除了研究目的外,很少有人����� �������Ƴ������������ �������Ƴ������������ �������Ƴ������������ �������Ƴ�������测量粒子速度。在气力输送����� �������Ƴ������������ �������Ƴ������������ �������Ƴ����������� �������Ƴ�������中,通常只涉及空气的速度。
1.在水平管道中,粒子的速度通常����� �������Ƴ����������� �������Ƴ������������ �������Ƴ������������ �������Ƴ�������是空气速度的80%左右。这通常用滑移����� �������Ƴ������������ �������Ƴ������������ �������Ƴ������������ �������Ƴ�������率来表示,用粒子的速度除����� �������Ƴ������������ �������Ƴ������������ �������Ƴ������������ �������Ƴ�������以输送粒子的空气的速度来定义,����� �������Ƴ������������ �������Ƴ������������ �������Ƴ������������ �������Ƴ�������在这种情况下是0。8。
2.在管道中垂直向上流动时,滑动比的典型值约为0����� �������Ƴ������������ �������Ƴ������������ �������Ƴ������������ �������Ƴ�������.7。
这些数值与管道中的稳定流动条件有关����� �������Ƴ������������ �������Ƴ������������ �������Ƴ������������ �������Ƴ�������,而管道中的稳定流动条件与材料被送入管道的位����� �������Ƴ������������ �������Ƴ������������ �������Ƴ������������ �������Ƴ�������置、管道中的弯曲以及其他可能的流动扰动有关。����� �������Ƴ������������ �������Ƴ������������ �������Ƴ������������ �������Ƴ�������当材料进入管道时,材料的速度基本为零。为了使物����� �������Ƴ������������ �������Ƴ������������ �������Ƴ������������ �������Ƴ�������料加速到输送速度,需要有一����� �������Ƴ����������� �������Ƴ������������ �������Ƴ����������� �������Ƴ�������段直线管道的初始段。良好的����� �������Ƴ����������� �������Ƴ������������ �������Ƴ������������ �������Ƴ�������工程实践表明,在第一个弯道之前,需要一个等于����� �������Ƴ������������ �������Ƴ������������ �������Ƴ������������ �������Ƴ������管径25倍的直管段。
这里很重要的是要定义不同����� �������Ƴ����������� �������Ƴ������������ �������Ƴ������������ �������Ƴ�������的速度术语用于气力输送行业:
1.表面速度-这是空气的速度无视存在的固体颗粒或����� �������Ƴ������������ �������Ƴ������������ �������Ƴ������������ �������Ƴ�������多孔介质。注:在管道中,����� �������Ƴ������������ �������Ƴ������������ �������Ƴ������������ �������Ƴ�������它是基于空气速度
横截面积,忽略了被传达者所占据的空间����� �������Ƴ����������� �������Ƴ������������ �������Ƴ������������ �������Ƴ�������
材料。对于给定的质量流量,空气速度取决于压力和����� �������Ƴ������������ �������Ƴ������������ �������Ƴ����������� �������Ƴ������温度。当输送空气速度在系统中的任何一点进行评估时����� �������Ƴ������������ �������Ƴ������������ �������Ƴ������������ �������Ƴ������,必须使用该点的压力和温度的局部值。
2.自由速度——这是空气在自由空气条件下的表面����� �������Ƴ������������ �������Ƴ������������ �������Ƴ������������ �������Ƴ�������速度。
3.最小输送速度-最小输送空气速度是可用于输送材����� �������Ƴ������������ �������Ƴ������������ �������Ƴ������������ �������Ƴ�������料的最低表面空气速度。注意:在稀相流中,这是在管����� �������Ƴ������������ �������Ƴ������������ �������Ƴ����������� �������Ƴ�������道底部没有物质沉淀的情况下所����� �������Ƴ������������ �������Ƴ������������ �������Ƴ������������ �������Ƴ�������能达到的最低气流速度。
4.进口空气速度-这是表����� �������Ƴ������������ �������Ƴ������������ �������Ƴ������������ �������Ƴ�������面空气速度在点的材料被送����� �������Ƴ������������ �������Ƴ����������� �������Ƴ������������ �������Ƴ�������入管道。注:在单孔管道中,这将是输����� �������Ƴ������������ �������Ƴ������������ �������Ƴ������������ �������Ƴ�������送管道中最低的空气流速。这是各种各样的称为拾����� �������Ƴ������������ �������Ƴ������������ �������Ƴ������������ �������Ƴ�������取或夹带速度。在真空输送系统中����� �������Ƴ������������ �������Ƴ����������� �������Ƴ����������� �������Ƴ������,它近似等于自由空气速度。
5.终端速度-这是在输送线末端的表面空气速度,在����� �������Ƴ����������� �������Ƴ������������ �������Ƴ������������ �������Ƴ�������这里物料被排放到接收容器中����� �������Ƴ������������ �������Ƴ������������ �������Ƴ������������ �������Ƴ�������。注:在单孔管道中,这将是输送管道中的最高气流����� �������Ƴ������������ �������Ƴ������������ �������Ƴ����������� �������Ƴ������速度。在正压输送系统中,它近似等于自����� �������Ƴ������������ �������Ƴ������������ �������Ƴ������������ �������Ƴ�������由空气速度。
系统压降
在实现给定的物料流量方面,气力输送系统的����� �������Ƴ������������ �������Ƴ������������ �������Ƴ����������� �������Ƴ�������性能主要取决于系统阻力。系统阻力越高,系统����� �������Ƴ������������ �������Ƴ������������ �������Ƴ������������ �������Ƴ�������内的压降越高,或者风机的静压越高。����� �������Ƴ������������ �������Ƴ������������ �������Ƴ������������ �������Ƴ�������
系统阻力(单位面积管壁摩擦)可由下����� �������Ƴ����������� �������Ƴ������������ �������Ƴ������������ �������Ƴ�������式估算:
F / A = F / 2 .....����� �������Ƴ����������� �������Ƴ������������ �������Ƴ����������� �������Ƴ�������...........ρv
2
•F是摩擦力
•A是摩擦力作用的面积
•ρ是流体的密度
v是流体的速度
•f是一个叫做摩擦系数的系数
如果我们在直径为D的水平����� �������Ƴ������������ �������Ƴ������������ �������Ƴ������������ �������Ƴ�������直线管道的差分长度Lto L上进����� �������Ƴ������������ �������Ƴ������������ �������Ƴ������������ �������Ƴ�������行能量平衡,克服摩擦阻力所需的总力����� �������Ƴ������������ �������Ƴ������������ �������Ƴ������������ �������Ƴ�������必须由产生沿长度为Lto����� �������Ƴ������������ �������Ƴ������������ �������Ƴ������������ �������Ƴ������� L的压降∆P的压力提供。1 21 2
压降力为:
∆P x管道面积=∆P x pi����� �������Ƴ������������ �������Ƴ����������� �������Ƴ������������ �������Ƴ������� * D/4
2
摩擦力是(力/单位面积)x管壁面积
因此,压降与摩擦力相等:
因此,你可以看到压强下降是
•与速度的平方成正比
•与管道直径成反比。
为了保持压降较低,建议降低输送速����� �������Ƴ����������� �������Ƴ������������ �������Ƴ������������ �������Ƴ�������度。
最小输送速度
必须保持一定的最小输送速度,以保持物料悬浮和流����� �������Ƴ����������� �������Ƴ������������ �������Ƴ����������� �������Ƴ�������动。过低的速度会阻碍系统的物料����� �������Ƴ������������ �������Ƴ������������ �������Ƴ������������ �������Ƴ�������输送能力,不必要的高速度会增加压降,因此,����� �������Ƴ����������� �������Ƴ������������ �������Ƴ������������ �������Ƴ�������需要额外的能量来克服这种阻力。����� �������Ƴ������������ �������Ƴ������������ �������Ƴ������������ �������Ƴ�������
物料特性对物料的输送速度和空气流量有很大的影����� �������Ƴ������������ �������Ƴ������������ �������Ƴ������������ �������Ƴ�������响。颗粒形状、粒径分布、平均����� �������Ƴ������������ �������Ƴ������������ �������Ƴ������������ �������Ƴ������粒径及颗粒密度;对最小输送速度、压降、����� �������Ƴ������������ �������Ƴ������������ �������Ƴ������������ �������Ƴ�������气流等都有影响。含水率、内聚性和粘����� �������Ƴ������������ �������Ƴ������������ �������Ƴ������������ �������Ƴ�������附性等特性可能会导致通过����� �������Ƴ����������� �������Ƴ������������ �������Ƴ������������ �������Ƴ�������容器和阀门的流动问题。
材料的影响
所要输送的材料的特性在速度场的选择中起着非常����� �������Ƴ����������� �������Ƴ������������ �������Ƴ������������ �������Ƴ�������重要的作用。这可以通过将����� �������Ƴ������������ �������Ƴ������������ �������Ƴ������������ �������Ƴ�������水泥粉与湿块煤进行比较来理解。虽然这两种材料都可����� �������Ƴ������������ �������Ƴ������������ �������Ƴ������������ �������Ƴ������以通过气动方式输送,但对于����� �������Ƴ������������ �������Ƴ������������ �������Ƴ����������� �������Ƴ�������湿块煤来说,其气动输送方式可����� �������Ƴ����������� �������Ƴ����������� �������Ƴ������������ �������Ƴ�������能会有很大的不同。其原因涉及散装物料����� �������Ƴ������������ �������Ƴ������������ �������Ƴ����������� �������Ƴ�������的特性以及这些特性在气力输送过程中是如����� �������Ƴ������������ �������Ƴ������������ �������Ƴ������������ �������Ƴ�������何相互作用的。例如,水泥粉����� �������Ƴ����������� �������Ƴ������������ �������Ƴ������������ �������Ƴ�������很容易流化并与空气混合。当以����� �������Ƴ����������� �������Ƴ������������ �������Ƴ����������� �������Ƴ�������高速输送时,它不会降解而损害大块材料。另����� �������Ƴ������������ �������Ƴ������������ �������Ƴ������������ �������Ƴ�������一方面,湿的块煤(2”平均尺寸)如果不严����� �������Ƴ������������ �������Ƴ������������ �������Ƴ������������ �������Ƴ�������重地降解原料而对煤产品造成极大损害,就不能流化����� �������Ƴ����������� �������Ƴ������������ �������Ƴ������������ �������Ƴ�������。这些因素影响通过管道的材料允����� �������Ƴ������������ �������Ƴ������������ �������Ƴ������������ �������Ƴ������许速度的选择。
它不仅仅是不同的材料!完全相同的材料的����� �������Ƴ������������ �������Ƴ������������ �������Ƴ������������ �������Ƴ�������不同等级可以表现出完全不同的性能。因此,为一种材����� �������Ƴ������������ �������Ƴ������������ �������Ƴ������������ �������Ƴ�������料设计的输送系统可能完全不适合另一种材料。����� �������Ƴ������������ �������Ƴ������������ �������Ƴ����������� �������Ƴ�������在实际应用中,保守的设计方法����� �������Ƴ����������� �������Ƴ������������ �������Ƴ������������ �������Ƴ�������是将材料与空气的比例控制在1:2以����� �������Ƴ������������ �������Ƴ������������ �������Ƴ������������ �������Ƴ�������下。成功的系统
当系统组件设计良好时,使用1:1或更多的材����� �������Ƴ������������ �������Ƴ������������ �������Ƴ������������ �������Ƴ�������料负载进行设计,并消除急转弯、突然连接或其他可能����� �������Ƴ������������ �������Ƴ������������ �������Ƴ������������ �������Ƴ�������出现的绑定、堵塞或脱落点。
例子
例如,以1800磅/小时的速度通过6英寸����� �������Ƴ������������ �������Ƴ������������ �������Ƴ������������ �������Ƴ�������的管道输送锯末,材料加载比为����� �������Ƴ������������ �������Ƴ����������� �������Ƴ������������ �������Ƴ������1:2,空气流速为4073����� �������Ƴ������������ �������Ƴ������������ �������Ƴ������������ �������Ƴ������� FPM。1.物料输送速度= 18����� �������Ƴ������������ �������Ƴ����������� �������Ƴ������������ �������Ƴ�������00磅/小时物料或30磅/分����� �������Ƴ������������ �������Ƴ������������ �������Ƴ������������ �������Ƴ�������钟
2.物料-空气比= 1:2
3.空气重量= 30&ti����� �������Ƴ������������ �������Ƴ����������� �������Ƴ������������ �������Ƴ�������mes;2 = 60磅/分钟
4.在标准空气密度为0时。075磅����� �������Ƴ������������ �������Ƴ������������ �������Ƴ������������ �������Ƴ�������/英尺,空气的体积
3
5.空气体积= 60磅/分钟&di����� �������Ƴ������������ �������Ƴ������������ �������Ƴ������������ �������Ƴ�������vide;.075磅/英尺����� �������Ƴ������������ �������Ƴ������������ �������Ƴ������������ �������Ƴ�������= 800立方英尺
3
6.6”直径的管道面积= 0。19����� �������Ƴ������������ �������Ƴ������������ �������Ƴ������������ �������Ƴ�������6英尺2
7.输送速度=风量/管区= 800 CFM&di����� �������Ƴ����������� �������Ƴ������������ �������Ƴ������������ �������Ƴ�������vide;0。该风机可选800 CFM。����� �������Ƴ������������ �������Ƴ������������ �������Ƴ������������ �������Ƴ�������
2
这只是空气的体积,那物质的体积呢?
由于材料和空气都是通过管道输送的,自然会����� �������Ƴ������������ �������Ƴ������������ �������Ƴ������������ �������Ƴ�������产生这样的问题,即风扇的尺寸����� �������Ƴ����������� �������Ƴ������������ �������Ƴ������������ �������Ƴ�������应该适合处理合并体积。在大多数应用中����� �������Ƴ������������ �������Ƴ������������ �������Ƴ����������� �������Ƴ�������,由于体积材料密度高,材����� �������Ƴ������������ �������Ƴ������������ �������Ƴ������������ �������Ƴ�������料体积被忽略。
在上面的例子中,1800磅/小时的锯末平均����� �������Ƴ������������ �������Ƴ������������ �������Ƴ������������ �������Ƴ�������容重为11磅/英尺
3{C}{C}{C}体积流量180����� �������Ƴ������������ �������Ƴ����������� �������Ƴ������������ �������Ƴ�������0÷11 = 164 ft/hr����� �������Ƴ������������ �������Ƴ����������� �������Ƴ������������ �������Ƴ�������或2。
3{C}{C}{C}7英尺/分����� �������Ƴ������������ �������Ƴ����������� �������Ƴ������������ �������Ƴ�������钟。
3这是微不足道的。然而,在处理更大的材料体����� �������Ƴ������������ �������Ƴ������������ �������Ƴ������������ �������Ƴ�������积或散装材料密度更轻的情况����� �������Ƴ������������ �������Ƴ������������ �������Ƴ����������� �������Ƴ�������下,不能忽略体积。
上面的例子考虑了材料与空气的比例(MAR)为1:����� �������Ƴ������������ �������Ƴ������������ �������Ƴ������������ �������Ƴ�������2。如果将同样1800磅/小时的����� �������Ƴ������������ �������Ƴ������������ �������Ƴ������������ �������Ƴ�������锯末引入1:1设计比的系统中����� �������Ƴ������������ �������Ƴ������������ �������Ƴ������������ �������Ƴ�������,则没有
系统的其他变化,导致的速度将只有一半和材料
可能会沉淀并堵塞。为了弥补比例的降低,管道����� �������Ƴ������������ �������Ƴ������������ �������Ƴ������������ �������Ƴ�������尺寸可以减少到4”,但这可能会在给管道送料或����� �������Ƴ������������ �������Ƴ����������� �������Ƴ������������ �������Ƴ�������过渡到风扇时带来新的问题。在进����� �������Ƴ������������ �������Ƴ������������ �������Ƴ������������ �������Ƴ�������行实际选择之前,最好先咨询一下专家。
稀相系统需要相对较高的输送空气速����� �������Ƴ����������� �������Ƴ������������ �������Ƴ������������ �������Ƴ�������度取决于材料类型。这是一个典型的区域,����� �������Ƴ������������ �������Ƴ������������ �������Ƴ������������ �������Ƴ�������在3000 fpm的一个细粉,到40����� �������Ƴ������������ �������Ƴ������������ �������Ƴ����������� �������Ƴ�������00 fpm的颗粒材料,以及更大的����� �������Ƴ������������ �������Ƴ������������ �������Ƴ������������ �������Ƴ�������颗粒和更高的密度的材料。下表提供了一些常用材料的����� �������Ƴ������������ �������Ƴ������������ �������Ƴ����������� �������Ƴ�������保守的最小输送速度。根据经验,高达5����� �������Ƴ������������ �������Ƴ������������ �������Ƴ������������ �������Ƴ�������0磅/英尺的材料可以以5000英尺/分钟的速度����� �������Ƴ������������ �������Ƴ������������ �������Ƴ������������ �������Ƴ�������输送。3

物料输送管道速度
在整个输送系统中必须保持足够的速度,以避免物料沉����� �������Ƴ������������ �������Ƴ������������ �������Ƴ������������ �������Ƴ�������降。当沉降发生在水平面上时,就����� �������Ƴ������������ �������Ƴ������������ �������Ƴ������������ �������Ƴ�������称为跃移。当在垂直平面上发生沉降时,它����� �������Ƴ����������� �������Ƴ����������� �������Ƴ������������ �������Ƴ�������被称为壅塞。
跃移是固体颗粒沿水平管道沉积的过程。当气流速����� �������Ƴ������������ �������Ƴ������������ �������Ƴ������������ �������Ƴ�������度低于最小输送值时,就会出现这种现象。����� �������Ƴ������������ �������Ƴ������������ �������Ƴ������������ �������Ƴ�������注意——不要选择高于需要的速度。增加����� �������Ƴ������������ �������Ƴ������������ �������Ƴ����������� �������Ƴ�������的速度会增加摩擦、磨损和运行成本����� �������Ƴ������������ �������Ƴ������������ �������Ƴ������������ �������Ƴ�������,对系统有害。向下运动的����� �������Ƴ������������ �������Ƴ����������� �������Ƴ������������ �������Ƴ�������阻塞通常发生在垂直线上,这是����� �������Ƴ����������� �������Ƴ������������ �������Ƴ����������� �������Ƴ������相邻水平线跳跃的直接结果。向上运动通常比较容易控����� �������Ƴ������������ �������Ƴ������������ �������Ƴ������������ �������Ƴ�������制,因为所需要的是足够的动量(速度����� �������Ƴ������������ �������Ƴ������������ �������Ƴ������������ �������Ƴ�������)来保持材料悬浮。所有下落的物质都简单地落回����� �������Ƴ������������ �������Ƴ������������ �������Ƴ����������� �������Ƴ�������气流中。然而,令人窒息
在向上流动的过程中,由于过度的负荷,风机排出����� �������Ƴ������������ �������Ƴ������������ �������Ƴ������������ �������Ƴ�������的气体会出现过早的磨损。
为了最大限度地减少跳跃或堵塞的可能性,建����� �������Ƴ������������ �������Ƴ������������ �������Ƴ������������ �������Ƴ�������议最大限度地减少弯头和弯头,并消除任何����� �������Ƴ������������ �������Ƴ������������ �������Ƴ������������ �������Ƴ�������泄漏,因为泄漏的下游流速会更����� �������Ƴ������������ �������Ƴ������������ �������Ƴ������������ �������Ƴ�������小。在系统设计中最好考虑����� �������Ƴ������������ �������Ƴ����������� �������Ƴ������������ �������Ƴ�������一些多余的空气,这些空气����� �������Ƴ������������ �������Ƴ������������ �������Ƴ����������� �������Ƴ�������将有效地增加系统中的速度,以帮助材料运输。可能����� �������Ƴ������������ �������Ƴ������������ �������Ƴ������������ �������Ƴ�������包括一些规定,用于通过可调节的����� �������Ƴ������������ �������Ƴ������������ �������Ƴ������������ �������Ƴ�������通风口或阻尼器排出多余的空气。����� �������Ƴ����������� �������Ƴ������������ �������Ƴ������������ �������Ƴ�������
对于稀相输送,可以达到更高的物料加载����� �������Ƴ������������ �������Ƴ������������ �������Ƴ������������ �������Ƴ������比:
•如果输送距离较短,
•如果输送管道压降低,或
•如果输送的空气流速较低,足以防止跃移。
当风压较低或管道很长时,材料的加载比值会很低����� �������Ƴ������������ �������Ƴ����������� �������Ƴ������������ �������Ƴ�������。
球迷们的选择
罗茨鼓风机的选择用于容积流量(����� �������Ƴ����������� �������Ƴ������������ �������Ƴ������������ �������Ƴ�������CFM)和所需的降低系统阻力的静压。我����� �������Ƴ������������ �������Ƴ������������ �������Ƴ������������ �������Ƴ�������们已经讨论过,在确定罗茨鼓风机容����� �������Ƴ������������ �������Ƴ������������ �������Ƴ������������ �������Ƴ�������量时通常只考虑风量,而忽略物料����� �������Ƴ������������ �������Ƴ������������ �������Ƴ������������ �������Ƴ�������体积。但是,在计算系统电����� �������Ƴ������������ �������Ƴ����������� �������Ƴ������������ �������Ƴ�������阻和风机电机额定值时,不能忽略����� �������Ƴ������������ �������Ƴ������������ �������Ƴ������������ �������Ƴ�������材料的含量。
系统阻力/压降
我们之前讨论过气动系统的压降与:
•∆p为压降
•L,直线管道的长度
•ρ,空气密度
•v,输送气流速度
d、管道内径
除非使用软件,否则这是一种繁琐的估算方法。可提供����� �������Ƴ������������ �������Ƴ������������ �������Ƴ������������ �������Ƴ�������简化表,以提供每100英尺管����� �������Ƴ������������ �������Ƴ������������ �������Ƴ������������ �������Ƴ�������道长度的摩擦损失(FL)。����� �������Ƴ������������ �������Ƴ������������ �������Ƴ������������ �������Ƴ�������
每100英尺长度的空气流量(CFM)和摩擦损失����� �������Ƴ������������ �������Ƴ����������� �������Ƴ������������ �������Ƴ�������(英寸w.g.)

注意,上表提供了空气引起的摩擦降;我����� �������Ƴ������������ �������Ƴ������������ �������Ƴ������������ �������Ƴ�������们在这里关心的是由于固体和空气的混合物而引起的����� �������Ƴ����������� �������Ƴ������������ �������Ƴ������������ �������Ƴ�������摩擦降。由于材料差异很大,没有可靠的方����� �������Ƴ������������ �������Ƴ������������ �������Ƴ������������ �������Ƴ������法来确定混合物的流动阻力;只����� �������Ƴ������������ �������Ƴ������������ �������Ƴ������������ �������Ƴ�������有合理的估计是有效的。一些研究人员已经建立了����� �������Ƴ������������ �������Ƴ������������ �������Ƴ������������ �������Ƴ�������详细的公式(详见附录2)来估计����� �������Ƴ������������ �������Ƴ������������ �������Ƴ������������ �������Ƴ�������电阻和
另一些人则认为,散装材料的含����� �������Ƴ������������ �������Ƴ����������� �������Ƴ������������ �������Ƴ�������量只是起到了减小管道有效面积的作用,因此通过计����� �������Ƴ������������ �������Ƴ������������ �������Ƴ������������ �������Ƴ������算空气阻力使管道直径变小,从而忽略了密度����� �������Ƴ������������ �������Ƴ������������ �������Ƴ������������ �������Ƴ�������效应。下图来自中试装置的测试和实验,为估算电阻提����� �������Ƴ������������ �������Ƴ����������� �������Ƴ������������ �������Ƴ�������供了合理的校正因子。

在我们的例子中,30磅/分钟����� �������Ƴ������������ �������Ƴ������������ �������Ƴ����������� �������Ƴ�������的材料需要800 CFM����� �������Ƴ������������ �������Ƴ������������ �������Ƴ������������ �������Ƴ�������的空气,这大约等于每磅材料需要26 CFM的空气����� �������Ƴ������������ �������Ƴ������������ �������Ƴ������������ �������Ƴ�������。因此,摩擦系数为1.17。具体方法见����� �������Ƴ������������ �������Ƴ������������ �������Ƴ������������ �������Ƴ�������附件2。
球迷必和必拓
风扇制动马力(必和必拓)将����� �������Ƴ������������ �������Ƴ������������ �������Ƴ������������ �������Ƴ�������随着材料空气比的增加而增加,并����� �������Ƴ������������ �������Ƴ����������� �������Ƴ����������� �������Ƴ�������取决于混合物的容重。在我们的例子中,综合重量����� �������Ƴ������������ �������Ƴ������������ �������Ƴ������������ �������Ƴ�������和总体积可以用来确定最大的气流密度,����� �������Ƴ������������ �������Ƴ������������ �������Ƴ������������ �������Ƴ�������以选择一种电机来处理散装密度下的风机必和必����� �������Ƴ����������� �������Ƴ������������ �������Ƴ������������ �������Ƴ�������拓。
材料质量= 1800磅/小时
材料空气比=空气质量的1:2 = 3600磅/小����� �������Ƴ������������ �������Ƴ������������ �������Ƴ������������ �������Ƴ������时
混合料总质量= 1800磅/小时材料+ ����� �������Ƴ������������ �������Ƴ������������ �������Ƴ������������ �������Ƴ�������3600磅/小时空气= 5400磅/小����� �������Ƴ������������ �������Ƴ������������ �������Ƴ������������ �������Ƴ�������时
混合物总质量= 5400&divi����� �������Ƴ������������ �������Ƴ������������ �������Ƴ������������ �������Ƴ�������de;60 = 90 lbs/min
物料的体积流量= 3 c����� �������Ƴ������������ �������Ƴ������������ �������Ƴ������������ �������Ƴ�������fm
空气体积流量= 800 cfm
混合物的总体积流量= 3 +����� �������Ƴ������������ �������Ƴ������������ �������Ƴ������������ �������Ƴ������� 800 = 803 cfm
因此,混合物的容重=总质量/总体积= 90&d����� �������Ƴ������������ �������Ƴ������������ �������Ƴ������������ �������Ƴ������ivide;803 CFM = 0。11����� �������Ƴ������������ �������Ƴ����������� �������Ƴ������������ �������Ƴ�������2磅/ ftbulk密度3
因为电机的额定功率是基于0的标准����� �������Ƴ������������ �������Ƴ������������ �������Ƴ������������ �������Ƴ�������空气条件。075磅/英尺,需要对0的����� �������Ƴ������������ �������Ƴ������������ �������Ƴ����������� �������Ƴ�������容重进行校正。3112磅����� �������Ƴ������������ �������Ƴ������������ �������Ƴ������������ �������Ƴ�������/英尺。3这种情况下的近似修正系数是1。5 .用����� �������Ƴ������������ �������Ƴ������������ �������Ƴ����������� �������Ƴ�������体积密度除以标准空气密度,即(.(����� �������Ƴ������������ �������Ƴ����������� �������Ƴ������������ �������Ƴ�������112÷.075)= 1����� �������Ƴ������������ �������Ƴ������������ �������Ƴ����������� �������Ƴ������.5
输送距离
输送压力与输送距离成正比
输送能力与输送距离成反比
输送距离对气力输送系统的性能有非常重要的影响。输����� �������Ƴ������������ �������Ƴ����������� �������Ƴ������������ �������Ƴ�������送距离越远,压降越大。例如,假设一个系����� �������Ƴ������������ �������Ƴ����������� �������Ƴ������������ �������Ƴ������统能够在300英尺的距离内以30 psi的压����� �������Ƴ����������� �������Ƴ������������ �������Ƴ������������ �������Ƴ�������降输送100吨/小时。如果距离增加一倍,压����� �������Ƴ������������ �������Ƴ������������ �������Ƴ������������ �������Ƴ�������力没有变化,物料流量至少减少一半,����� �������Ƴ������������ �������Ƴ������������ �������Ƴ������������ �������Ƴ�������最大不超过50吨/小时,如����� �������Ƴ������������ �������Ƴ������������ �������Ƴ������������ �������Ƴ�������果管道内径没有变化。当物料流量减����� �������Ƴ������������ �������Ƴ������������ �������Ƴ������������ �������Ƴ�������半,空气流量不变时,固体加载比和����� �������Ƴ������������ �������Ƴ������������ �������Ƴ����������� �������Ƴ�������比功耗也会减半
将会增加。
输送距离或线路长度对容量有实际的限制。当我们提����� �������Ƴ����������� �������Ƴ������������ �������Ƴ������������ �������Ƴ������到线长时,我们实际上指的是����� �������Ƴ������������ �������Ƴ������������ �������Ƴ������������ �������Ƴ�������等效的线长,它不仅考虑了水平和垂直的长����� �������Ƴ����������� �������Ƴ������������ �������Ƴ������������ �������Ƴ������度之和,还考虑了系统中弯曲的数量。如����� �������Ƴ������������ �������Ƴ������������ �������Ƴ������������ �������Ƴ������果我们能找到一种方法来减少����� �������Ƴ������������ �������Ƴ������������ �������Ƴ������������ �������Ƴ�������管道的等效长度,我们就能有效地降����� �������Ƴ������������ �������Ƴ������������ �������Ƴ������������ �������Ƴ�������低使材料通过管道所需的压差。以最小弯头����� �������Ƴ������������ �������Ƴ������������ �������Ƴ����������� �������Ƴ�������数缩短输送线似乎是显而易见的。另一个����� �������Ƴ������������ �������Ƴ����������� �������Ƴ������������ �������Ƴ�������简单的技术是前面讨论过的“行步进”。
请注意,当你比较气动搬运和液压输送系统����� �������Ƴ������������ �������Ƴ������������ �������Ƴ������������ �������Ƴ�������时,气动系统的输送能力要小得多。当水的密度比空����� �������Ƴ������������ �������Ƴ������������ �������Ƴ������������ �������Ƴ�������气的密度大800倍左右时,在自由空����� �������Ƴ������������ �������Ƴ������������ �������Ƴ������������ �������Ƴ�������气条件下,被输送物质与被输送流体之间����� �������Ƴ������������ �������Ƴ������������ �������Ƴ������������ �������Ƴ�������的密度差别很大。因此,输送空气的速度是输送悬浮����� �������Ƴ������������ �������Ƴ������������ �������Ƴ������������ �������Ƴ�������材料所需速度的十倍左右。
稀相系统的组分
气动系统主要部件包括:
1.带整体隔音罩的压力鼓风机和真空����� �������Ƴ������������ �������Ƴ������������ �������Ƴ������������ �������Ƴ������泵
2.旋转气闸阀
3.输送管线包括管道、弯头;����� �������Ƴ������������ �������Ƴ����������� �������Ƴ������������ �������Ƴ�������分流阀(弯管分流阀、wye-分流阀、塞式分流阀����� �������Ƴ������������ �������Ƴ������������ �������Ƴ������������ �������Ƴ�������和其他管道分流阀配置)。
4.过滤器接收器
5.旋风分离器
6.重量增加和重量减少的配料系统
7.除尘和通风口
8.控制和电气设备
9.筒仓、日箱和其他储存容器
材料处理时的风机选择注意事项
风机/鼓风机是稀相气力输送系统的核心����� �������Ƴ����������� �������Ƴ����������� �������Ƴ������������ �������Ƴ�������。如果材料没有接触到风扇,向后倾斜的风扇将是一个����� �������Ƴ����������� �������Ƴ������������ �������Ƴ����������� �������Ƴ������很好的选择。如果所输送的物料将通过����� �������Ƴ������������ �������Ƴ������������ �������Ƴ������������ �������Ƴ�������风机,风机的设计必须特别考虑。风扇叶片类型的����� �������Ƴ������������ �������Ƴ������������ �������Ƴ������������ �������Ƴ�������选择是非常重要的,因为人们����� �������Ƴ������������ �������Ƴ������������ �������Ƴ������������ �������Ƴ�������不想选择一个容易收集材料的叶片类型。后弯和翼型叶����� �������Ƴ������������ �������Ƴ������������ �������Ƴ������������ �������Ƴ������片是有效的,但他们往往收集材料的叶����� �������Ƴ������������ �������Ƴ����������� �������Ƴ������������ �������Ƴ�������片。径向叶片更适合于材料处理应用。����� �������Ƴ������������ �������Ƴ������������ �������Ƴ������������ �������Ƴ������
风扇的速度也很重要。操作速度应����� �������Ƴ������������ �������Ƴ����������� �������Ƴ������������ �������Ƴ�������尽量降低。具有高叶尖速度的高速风扇可����� �������Ƴ����������� �������Ƴ������������ �������Ƴ������������ �������Ƴ������以产生更高的速度,这直接对应于对风扇和����� �������Ƴ������������ �������Ƴ������������ �������Ƴ������������ �������Ƴ�������系统部件的侵蚀和冲击程度。应选择临界转速明����� �������Ƴ������������ �������Ƴ������������ �������Ƴ������������ �������Ƴ�������显高于运行转速的风机。良好的工程实践规定,对于物����� �������Ƴ������������ �������Ƴ������������ �������Ƴ������������ �������Ƴ�������料输送风机,临界转速至少为1����� �������Ƴ����������� �������Ƴ������������ �������Ƴ����������� �������Ƴ�������。比运行速度快5倍。
如果材料与风机接触,可能需要特殊材料来����� �������Ƴ������������ �������Ƴ������������ �������Ƴ������������ �������Ƴ�������抵抗腐蚀、磨损和冲击,这取决于所处理的材料。在����� �������Ƴ������������ �������Ƴ������������ �������Ƴ����������� �������Ƴ�������某些应用中,在最易发生磨损的位置将衬套加到����� �������Ƴ������������ �������Ƴ����������� �������Ƴ������������ �������Ƴ�������风扇轮上。这些衬套然后可以定期更换,而不必更����� �������Ƴ������������ �������Ƴ������������ �������Ƴ������������ �������Ƴ�������换整个车轮。还可能需要特����� �������Ƴ������������ �������Ƴ������������ �������Ƴ����������� �������Ƴ�������殊的涂层来抵抗腐蚀或进行清洗
更容易。
如果处理的材料是爆炸性或可燃性的,应要求进行����� �������Ƴ������������ �������Ƴ������������ �������Ƴ������������ �������Ƴ�������防火花施工。AMCA标准99����� �������Ƴ������������ �������Ƴ������������ �������Ƴ������������ �������Ƴ�������指定了类型A、B和C的火花结构,可用于许多风扇����� �������Ƴ������������ �������Ƴ������������ �������Ƴ������������ �������Ƴ�������设计。如果像煤这样的材料正在运����� �������Ƴ������������ �������Ƴ������������ �������Ƴ������������ �������Ƴ�������输,国家消防协会要求风机外壳设计能够承受爆����� �������Ƴ������������ �������Ƴ������������ �������Ƴ������������ �������Ƴ�������炸。
选择轴承时可能需要特别考����� �������Ƴ������������ �������Ƴ������������ �������Ƴ������������ �������Ƴ�������虑。风机的布置应使轴承远离气流。此外,可����� �������Ƴ������������ �������Ƴ����������� �������Ƴ������������ �������Ƴ�������能需要使用更大容量的轴承来承受材料����� �������Ƴ������������ �������Ƴ������������ �������Ƴ������������ �������Ƴ�������对叶轮的冲击所产生的载荷。风扇导����� �������Ƴ������������ �������Ƴ������������ �������Ƴ������������ �������Ƴ�������向在材料处理应用中也很重要。在离心式风机中,����� �������Ƴ������������ �������Ƴ������������ �������Ƴ����������� �������Ƴ�������最好采用底部水平或底部成角向上排放。在其他����� �������Ƴ������������ �������Ƴ������������ �������Ƴ������������ �������Ƴ�������配置中,如果材料沉淀在风扇外����� �������Ƴ������������ �������Ƴ������������ �������Ƴ������������ �������Ƴ�������壳中,它会落到底部并停留在那里。随着底����� �������Ƴ������������ �������Ƴ������������ �������Ƴ����������� �������Ƴ�������部水平或角向上放电,材料往往不解决由于高速在����� �������Ƴ����������� �������Ƴ������������ �������Ƴ������������ �������Ƴ�������底部的住房。
重要的是要选择正确类型的风扇,并正确地指定,特����� �������Ƴ������������ �������Ƴ������������ �������Ƴ������������ �������Ƴ�������别是在自由空气输送方面。
管道
管道系统的设计需要仔细考虑可能导致����� �������Ƴ������������ �������Ƴ������������ �������Ƴ����������� �������Ƴ�������系统失效或勉强可接受的操作的因素。����� �������Ƴ����������� �������Ƴ������������ �������Ƴ����������� �������Ƴ�������一些应该严格遵守的基本规则����� �������Ƴ����������� �������Ƴ������������ �������Ƴ������������ �������Ƴ�������:
1.所有的运行应该是直接之间的材料拾取和����� �������Ƴ������������ �������Ƴ������������ �������Ƴ������������ �������Ƴ�������下降与尽可能少的数量的方向和海拔的变化。
2.在每个方向改变(弯头)之前,至少要有5到6����� �������Ƴ����������� �������Ƴ������������ �������Ƴ������������ �������Ƴ�������英尺的水平直线alt。对于较大的管道尺寸,此运����� �������Ƴ������������ �������Ƴ������������ �������Ƴ������������ �������Ƴ������行时间应该逐渐变长。一个好的经验法则是让2英寸的����� �������Ƴ������������ �������Ƴ������������ �������Ƴ������������ �������Ƴ�������管道跑5英尺,并且每增加1英寸的管径就����� �������Ƴ������������ �������Ƴ������������ �������Ƴ����������� �������Ƴ�������增加5英尺。5英寸直径的输送线需要5 + 5 +����� �������Ƴ������������ �������Ƴ������������ �������Ƴ������������ �������Ƴ������� 5 + 5 =每个弯管前20英尺的水平运行����� �������Ƴ������������ �������Ƴ����������� �������Ƴ������������ �������Ƴ�������。在材料进口下游,在第一个弯道之前,需要����� �������Ƴ������������ �������Ƴ������������ �������Ƴ������������ �������Ƴ�������一个等于管径25倍的直管段。����� �������Ƴ������������ �������Ƴ������������ �������Ƴ����������� �������Ƴ�������
3.除非必要,否则不应使用斜立管。
管道系统的建设通常涉及到对管道类型和材料����� �������Ƴ������������ �������Ƴ������������ �������Ƴ����������� �������Ƴ�������的考虑。由于铝的重量轻,耐腐蚀,所以大����� �������Ƴ������������ �������Ƴ������������ �������Ƴ������������ �������Ƴ�������多数的气力输送都是用铝做的。镀锌碳����� �������Ƴ������������ �������Ƴ������������ �������Ƴ������������ �������Ƴ�������钢也用于较小的线尺寸1&fra����� �������Ƴ������������ �������Ƴ����������� �������Ƴ������������ �������Ƴ�������c14;英寸和2英寸ID。镀锌钢的����� �������Ƴ������������ �������Ƴ������������ �������Ƴ������������ �������Ƴ������安装成本略低于铝薄壁管。它也����� �������Ƴ������������ �������Ƴ������������ �������Ƴ����������� �������Ƴ�������更重,更容易腐蚀,特别是在户外使用。薄壁不锈钢����� �������Ƴ������������ �������Ƴ����������� �������Ƴ������������ �������Ƴ�������管和附表10和40铝管的使用频率较����� �������Ƴ������������ �������Ƴ����������� �������Ƴ����������� �������Ƴ�������低,成本明显较高。一种常����� �������Ƴ������������ �������Ƴ������������ �������Ƴ������������ �������Ƴ�������用的组合是用于低磨损直线运行的铝薄壁管和用于����� �������Ƴ������������ �������Ƴ������������ �������Ƴ������������ �������Ƴ������高磨损弯头的薄壁不锈钢弯头。这种组合既耐用又����� �������Ƴ������������ �������Ƴ������������ �������Ƴ����������� �������Ƴ�������经济
有效。
管道长度和弯头通常由镀锌或不锈钢、带垫圈的压����� �������Ƴ����������� �������Ƴ������������ �������Ƴ������������ �������Ƴ�������缩型三或四螺栓联轴器连接在一起����� �������Ƴ����������� �������Ƴ������������ �������Ƴ������������ �������Ƴ�������。这些应该总是包括接地带,因为垫圈通常����� �������Ƴ������������ �������Ƴ������������ �������Ƴ������������ �������Ƴ�������是一个绝缘体。在输送过程中,隔离段的输送管道会����� �������Ƴ������������ �������Ƴ������������ �������Ƴ������������ �������Ƴ�������产生大量的、有潜在危险的静电荷。
物质的摄入量的方法
有许多不同类型的给料机用于����� �������Ƴ����������� �������Ƴ����������� �������Ƴ������������ �������Ƴ������将输送到气流中的物料导入。常见的����� �������Ƴ������������ �������Ƴ������������ �������Ƴ����������� �������Ƴ�������馈线有螺旋馈线、文丘里馈����� �������Ƴ������������ �������Ƴ������������ �������Ƴ����������� �������Ƴ������线和引擎盖馈线。
重力饲料
风帽或料斗可用于干燥、自由流动的材料。����� �������Ƴ������������ �������Ƴ������������ �������Ƴ������������ �������Ƴ�������重要的是要记住,是周围移动的速度和通过的����� �������Ƴ������������ �������Ƴ������������ �������Ƴ������������ �������Ƴ������材料,诱导它流动。如果入口被材料堵塞,����� �������Ƴ������������ �������Ƴ������������ �������Ƴ������������ �������Ƴ�������所需的速度无法保持,严重阻碍空气和物质的流动。
文丘里进料器可用于将材料引入气流中。像引擎����� �������Ƴ������������ �������Ƴ������������ �������Ƴ������������ �������Ƴ�������盖一样,它没有活动部件,所以几乎����� �������Ƴ������������ �������Ƴ������������ �������Ƴ����������� �������Ƴ�������不需要维护。然而,文丘里的设计必须����� �������Ƴ������������ �������Ƴ������������ �������Ƴ������������ �������Ƴ������针对每个应用,即使是最好的也很容易被堵塞,如果系����� �������Ƴ������������ �������Ƴ������������ �������Ƴ����������� �������Ƴ������统条件不同。典型的喉道速度是主管道速度的2到3倍����� �������Ƴ����������� �������Ƴ������������ �������Ƴ������������ �������Ƴ�������。

饲料机械
在气力输送中最常用的给料装置是回转阀,也称为回����� �������Ƴ������������ �������Ƴ������������ �������Ƴ������������ �������Ƴ�������转给料装置、星形给料装置、回转密封装置、回����� �������Ƴ������������ �������Ƴ������������ �������Ƴ������������ �������Ƴ�������转气闸装置或蜂巢状轮装置。旋转阀����� �������Ƴ������������ �������Ƴ������������ �������Ƴ������������ �������Ƴ�������使固体颗粒能够以控制的速度����� �������Ƴ������������ �������Ƴ����������� �������Ƴ����������� �������Ƴ�������在空气压力下进入气流。它由����� �������Ƴ������������ �������Ƴ������������ �������Ƴ������������ �������Ƴ�������一个转子,分为许多口袋或叶片(八个叶片将����� �������Ƴ������������ �������Ƴ������������ �������Ƴ������������ �������Ƴ������是典型的)。当产品通过与之相����� �������Ƴ������������ �������Ƴ������������ �������Ƴ������������ �������Ƴ�������连的料斗时,来自上述料斗的产品����� �������Ƴ������������ �������Ƴ����������� �������Ƴ������������ �������Ƴ������通过重力流进每个转子口袋。口袋旋转到底部����� �������Ƴ������������ �������Ƴ������������ �������Ƴ������������ �������Ƴ�������
产品从每个口袋中依次滴入输送气流并通过输送����� �������Ƴ������������ �������Ƴ������������ �������Ƴ������������ �������Ƴ�������线。袋完成旋转到顶部充满����� �������Ƴ������������ �������Ƴ������������ �������Ƴ������������ �������Ƴ�������压缩的输送空气,膨胀到气闸入口料����� �������Ƴ������������ �������Ƴ������������ �������Ƴ������������ �������Ƴ�������斗。因此,一些输送空气进入气闸进料斗。
旋转阀主要有两种类型:
1.更常见的“直通”旋转阀,主要用于相对自由流动����� �������Ƴ����������� �������Ƴ������������ �������Ƴ������������ �������Ƴ�������的材料(如采购产品粮食,大米,聚球和粉末,颗����� �������Ƴ������������ �������Ƴ����������� �������Ƴ������������ �������Ƴ�������粒肥料,氧化铝,咖啡豆,糖);
2.“吹出式”旋转阀,主要用于粘性较强的粉体。����� �������Ƴ������������ �������Ƴ������������ �������Ƴ������������ �������Ƴ�������可可粉、面粉、奶粉等)可����� �������Ƴ������������ �������Ƴ������������ �������Ƴ������������ �������Ƴ�������能无法从滴漏式旋转阀(即细粉末压紧并粘在楔形转����� �������Ƴ����������� �������Ƴ������������ �������Ƴ������������ �������Ƴ�������子的内部)。

旋转阀的大小/选择将取决于(除����� �������Ƴ������������ �������Ƴ������������ �������Ƴ������������ �������Ƴ������其他外)该阀是否用作系统的进给速����� �������Ƴ������������ �������Ƴ������������ �������Ƴ������������ �������Ƴ�������度控制器。例如:
1.如果一个旋转阀直接连接到一个“满”的料斗����� �������Ƴ������������ �������Ƴ������������ �������Ƴ������������ �������Ƴ�������上,那么这个阀门就被称为“注����� �������Ƴ����������� �������Ƴ����������� �������Ƴ������������ �������Ƴ�������水”,并且可以通过改变转子速度来改变进料����� �������Ƴ������������ �������Ƴ������������ �������Ƴ������������ �������Ƴ�������/输送速率——这里的旋转����� �������Ƴ������������ �������Ƴ������������ �������Ƴ����������� �������Ƴ�������阀是给料机或给料速率控制器。
2.如果旋转阀位于另一个给料����� �������Ƴ����������� �������Ƴ������������ �������Ƴ������������ �������Ƴ�������装置的下游(例如螺旋给料机)或其����� �������Ƴ������������ �������Ƴ������������ �������Ƴ������������ �������Ƴ������他给料速度控制器(如锤磨机),然后旋转阀被用����� �������Ƴ������������ �������Ƴ������������ �������Ƴ����������� �������Ƴ�������于另一个目的(例如。压力密封或气闸,����� �������Ƴ������������ �������Ƴ������������ �������Ƴ������������ �������Ƴ������爆炸无回阀)。
回转阀给料正压气力输送系统会遇到����� �������Ƴ������������ �������Ƴ������������ �������Ƴ������������ �������Ƴ������许多问题,如给料率容量不足、系统漏气����� �������Ƴ������������ �������Ƴ������������ �������Ƴ������������ �������Ƴ�������、流动条件不稳定、输送管道堵塞����� �������Ƴ����������� �������Ƴ������������ �������Ƴ������������ �������Ƴ�������以及回转阀内部过度磨损等����� �������Ƴ����������� �������Ƴ������������ �������Ƴ������������ �������Ƴ������。在许多情况下,这些问题的根����� �������Ƴ������������ �������Ƴ������������ �������Ƴ������������ �������Ƴ�������本原因是通过旋转阀的空气泄漏����� �������Ƴ������������ �������Ƴ����������� �������Ƴ������������ �������Ƴ������(损失)(由于间隙)。
泄漏量取决于许多因素,如系统压力、转子间隙����� �������Ƴ������������ �������Ƴ������������ �������Ƴ������������ �������Ƴ�������、材料性能、阀门上方的产品水头以及����� �������Ƴ������������ �������Ƴ����������� �������Ƴ������������ �������Ƴ�������是否使用排气口。在输送系统的设计阶段,若忽略����� �������Ƴ������������ �������Ƴ������������ �������Ƴ������������ �������Ƴ�������漏气或不正确地估计漏气,可能会导致送����� �������Ƴ������������ �������Ƴ������������ �������Ƴ������������ �������Ƴ������气机的尺寸不正确(即风扇、吹风机或压����� �������Ƴ����������� �������Ƴ������������ �������Ƴ������������ �������Ƴ������缩机)。
气闸是一种精密加工设备,其中转子和外壳之间的����� �������Ƴ����������� �������Ƴ������������ �������Ƴ������������ �������Ƴ�������间隙为0。004 - 0。005英寸。随����� �������Ƴ������������ �������Ƴ������������ �������Ƴ����������� �������Ƴ�������着时间的推移,这种间隙的确会磨损,导����� �������Ƴ������������ �������Ƴ������������ �������Ƴ����������� �������Ƴ�������致泄漏增加。
材料放电方法
材料通常通过过滤器接收器或旋风分����� �������Ƴ������������ �������Ƴ������������ �������Ƴ������������ �������Ƴ�������离器出口。正压系统还可以采用填充/通径阀从系统的����� �������Ƴ������������ �������Ƴ������������ �������Ƴ������������ �������Ƴ�������一个使用点排放材料,或将材����� �������Ƴ������������ �������Ƴ������������ �������Ƴ������������ �������Ƴ�������料重新定向到另一个使用点。
过滤器接收器-过滤器接收器使用过滤介质和重����� �������Ƴ������������ �������Ƴ����������� �������Ƴ������������ �������Ƴ�������力将固体从气流中分离出来,一般规����� �������Ƴ������������ �������Ƴ����������� �������Ƴ������������ �������Ƴ�������定当材料含有更小的颗粒,易于除尘和/或当防尘����� �������Ƴ������������ �������Ƴ������������ �������Ƴ������������ �������Ƴ������是主要要求时。它们通常位于材料使用点的上方,����� �������Ƴ������������ �������Ƴ������������ �������Ƴ������������ �������Ƴ�������采用反向脉冲喷射式过滤器清洗,将积����� �������Ƴ������������ �������Ƴ������������ �������Ƴ������������ �������Ƴ�������存的灰尘从过滤器表面清除����� �������Ƴ������������ �������Ƴ����������� �������Ƴ������������ �������Ƴ�������,从而实现连续和高效
从气流中分离物质。这些可����� �������Ƴ������������ �������Ƴ������������ �������Ƴ������������ �������Ƴ�������用于压力和真空系统。
旋风分离器——旋风分离器的工作原理是产生一个充����� �������Ƴ������������ �������Ƴ������������ �������Ƴ����������� �������Ƴ�������满微粒的空气漩涡。离心力将微粒推向����� �������Ƴ������������ �������Ƴ������������ �������Ƴ����������� �������Ƴ�������外气旋壁,在那里它们失去速度并螺旋下降到放电处。����� �������Ƴ������������ �������Ƴ������������ �������Ƴ������������ �������Ƴ�������然后将相对无微粒的空气通过附在旋风顶部的洁����� �������Ƴ������������ �������Ƴ������������ �������Ƴ������������ �������Ƴ�������净空气排出口排出。各种类型和各种固体回收方法的����� �������Ƴ������������ �������Ƴ������������ �������Ƴ������������ �������Ƴ�������过滤器用于在排放或循环使用之前清理����� �������Ƴ������������ �������Ƴ����������� �������Ƴ������������ �������Ƴ�������运输气体。
充填/通阀——充填/通阀����� �������Ƴ������������ �������Ƴ������������ �������Ƴ������������ �������Ƴ�������通常用于将物料直接排放到单个或多个工艺容器中����� �������Ƴ����������� �������Ƴ������������ �������Ƴ����������� �������Ƴ�������,并/或沿着公共输送管道将其输送到多个目的地。����� �������Ƴ������������ �������Ƴ����������� �������Ƴ������������ �������Ƴ�������在最后一个灌装/通阀的下游,����� �������Ƴ������������ �������Ƴ������������ �������Ƴ������������ �������Ƴ�������输送管道通常被引导到原始物料源点或进入除����� �������Ƴ������������ �������Ƴ������������ �������Ƴ������������ �������Ƴ�������尘装置。它只用于压力系统。
直接进入工艺容器——压力和真空系统����� �������Ƴ������������ �������Ƴ������������ �������Ƴ������������ �������Ƴ�������都可以将材料直接注入搅拌机、反应����� �������Ƴ������������ �������Ƴ������������ �������Ƴ����������� �������Ƴ�������器和其他封闭的工艺容器,这些容����� �������Ƴ������������ �������Ƴ������������ �������Ƴ����������� �������Ƴ�������器被排放到下游的袋式除尘器或其他除尘装置中,����� �������Ƴ������������ �������Ƴ������������ �������Ƴ������������ �������Ƴ������因此无需单独的过滤器接收器。它可用于压力和真����� �������Ƴ������������ �������Ƴ������������ �������Ƴ������������ �������Ƴ�������空系统。
提高能力的方法优化固体/空气比率
2.尽量减少弯曲的次数
3.缩短总输送距离
4.将输送速度降低到略高于跃移的水平
5.在接近系统末端的地方增加����� �������Ƴ������������ �������Ƴ������������ �������Ƴ������������ �������Ƴ�������线径
这样做可以减少整个系统的压����� �������Ƴ������������ �������Ƴ������������ �������Ƴ������������ �������Ƴ�������力降。尽量减少软管长度,并尽可能消除
减少输送管道磨损的方法
1.减少输送速度
2.使用耐磨材料,如砂子、����� �������Ƴ������������ �������Ƴ������������ �������Ƴ������������ �������Ƴ�������炭黑等。
3.尽量减少线路长度和弯道����� �������Ƴ������������ �������Ƴ������������ �������Ƴ������������ �������Ƴ�������数量
4.沿径向而不是切线方向进����� �������Ƴ������������ �������Ƴ������������ �������Ƴ����������� �������Ƴ�������入血管
5.在容器中间挂一个挡板,让����� �������Ƴ����������� �������Ƴ����������� �������Ƴ������������ �������Ƴ�������材料接触容器壁而不是容器壁
6.在容器入口前,加大管道直径
稀相气力输送十大提示
1.不要使用倾斜的管道。回流(����� �������Ƴ������������ �������Ƴ������������ �������Ƴ������������ �������Ƴ�������同一物料的回流和再输送)要求管道将产品重新输送到����� �������Ƴ������������ �������Ƴ������������ �������Ƴ������������ �������Ƴ�������其正常负荷之上,且效果是����� �������Ƴ������������ �������Ƴ����������� �������Ƴ������������ �������Ƴ�������累加的。在最好的情况下,它将显著增加����� �������Ƴ������������ �������Ƴ������������ �������Ƴ������������ �������Ƴ�������输送的负担,但更有可能倾向于����� �������Ƴ������������ �������Ƴ������������ �������Ƴ������������ �������Ƴ������堵塞下弯。
2.在第一个弯之前允许一个“合����� �������Ƴ����������� �������Ƴ������������ �������Ƴ������������ �������Ƴ������理的”水平输送长度,以使散装����� �������Ƴ������������ �������Ƴ������������ �������Ƴ������������ �������Ƴ�������物料加速到一个稳定的输送速度����� �������Ƴ������������ �������Ƴ������������ �������Ƴ����������� �������Ƴ�������,并减少输送管道的分段负荷。被弯管减����� �������Ƴ������������ �������Ƴ������������ �������Ƴ������������ �������Ƴ�������速的材料占据了管道横截面积的更大比例����� �������Ƴ������������ �������Ƴ������������ �������Ƴ������������ �������Ƴ�������,因此对空气流动提供了更多的阻碍,从而增����� �������Ƴ������������ �������Ƴ������������ �������Ƴ������������ �������Ƴ�������加了沿系统的压降。
3.由于类似于上述原因,管道上的弯头不能紧密����� �������Ƴ������������ �������Ƴ������������ �������Ƴ������������ �������Ƴ�������连接在一起。
4.考虑在长时间的运行中使����� �������Ƴ������������ �������Ƴ������������ �������Ƴ������������ �������Ƴ�������用管道。空气随着压降而膨胀,����� �������Ƴ������������ �������Ƴ������������ �������Ƴ������������ �������Ƴ�������所以速度不可避免地沿着恒定的管道����� �������Ƴ������������ �������Ƴ������������ �������Ƴ������������ �������Ƴ������增加。较高的材料速度会增加弯曲处的磨损和����� �������Ƴ������������ �������Ƴ������������ �������Ƴ������������ �������Ƴ�������产品的退化。
5.在稀相系统中,“更多的空����� �������Ƴ������������ �������Ƴ����������� �������Ƴ������������ �������Ƴ�������气”可以是“更少的传输容����� �������Ƴ����������� �������Ƴ������������ �������Ƴ������������ �������Ƴ�������量”。较高的气速所引起的较大的固体和气体摩擦损失����� �������Ƴ������������ �������Ƴ������������ �������Ƴ������������ �������Ƴ�������比额外的能量输入能吸收更多的能量。����� �������Ƴ������������ �������Ƴ������������ �������Ƴ������������ �������Ƴ������对于给定的贫相,存在一个最佳的气体流����� �������Ƴ������������ �������Ƴ����������� �������Ƴ������������ �������Ƴ������量
流系统。与专家一起检查正确的����� �������Ƴ������������ �������Ƴ������������ �������Ƴ����������� �������Ƴ�������固体/气体比例平衡和顶部
的性能。
6.产品在弯曲处的损坏和磨损取����� �������Ƴ������������ �������Ƴ������������ �������Ƴ������������ �������Ƴ�������决于材料。盲三通通常有很����� �������Ƴ����������� �������Ƴ������������ �������Ƴ������������ �������Ƴ������多优点,但会比长半径弯道造����� �������Ƴ������������ �������Ƴ������������ �������Ƴ������������ �������Ƴ������成更高的压降。
7.旋转阀确实会泄漏,也会通过返回的空腔体传递����� �������Ƴ������������ �������Ƴ������������ �������Ƴ������������ �������Ƴ�������空气差。他们也倾向于在阀门的一侧填充产品����� �������Ƴ������������ �������Ƴ������������ �������Ƴ����������� �������Ƴ�������,因为空的口袋旋转,以提供一个空间,让材料流����� �������Ƴ������������ �������Ƴ������������ �������Ƴ������������ �������Ƴ�������入。气体回流和进气偏差会引起许多进料问题。����� �������Ƴ������������ �������Ƴ����������� �������Ƴ������������ �������Ƴ�������确保阀门处于适当的通风状态,进料����� �������Ƴ������������ �������Ƴ������������ �������Ƴ������������ �������Ƴ�������通道处于良好的状态,能够通过整个横截面。����� �������Ƴ������������ �������Ƴ������������ �������Ƴ������������ �������Ƴ�������短进口立管适用于旋风分离����� �������Ƴ����������� �������Ƴ������������ �������Ƴ������������ �������Ƴ�������器出口或高压管线的进给。
8.检查气旋是否有畅通无阻的出口。如果����� �������Ƴ����������� �������Ƴ������������ �������Ƴ������������ �������Ƴ�������有断续或周期性的排放,则应留出足够的����� �������Ƴ������������ �������Ƴ������������ �������Ƴ������������ �������Ƴ�������缓冲容量,以避免干扰旋风����� �������Ƴ������������ �������Ƴ������������ �������Ƴ������������ �������Ƴ�������分离器的操作。
9.考虑到送风管道上的压降。在适当的����� �������Ƴ������������ �������Ƴ������������ �������Ƴ������������ �������Ƴ�������情况下,包括过滤器、消音器、音箱或压气����� �������Ƴ������������ �������Ƴ������������ �������Ƴ������������ �������Ƴ������机外壳和延长供电时间。一定要补偿由于气体压����� �������Ƴ������������ �������Ƴ������������ �������Ƴ������������ �������Ƴ�������缩而引起的温度升高。
10.提供足够的仪器;这对于了解正在发生����� �������Ƴ������������ �������Ƴ����������� �������Ƴ����������� �������Ƴ�������的事情并促进对可能出现的任何问题的适当调����� �������Ƴ������������ �������Ƴ������������ �������Ƴ������������ �������Ƴ������查是至关重要的。
密相输送
在稀相输送系统中,产品通过气流中单个颗粒的����� �������Ƴ������������ �������Ƴ������������ �������Ƴ����������� �������Ƴ�������提升或悬浮运输。当速度随后降低时,较大的颗����� �������Ƴ����������� �������Ƴ������������ �������Ƴ������������ �������Ƴ�������粒无法承受这种升力,它们开始从悬浮体下落到管道底����� �������Ƴ������������ �������Ƴ������������ �������Ƴ������������ �������Ƴ�������部。工业上用来描述悬浮颗粒从气流中下落速度����� �������Ƴ������������ �������Ƴ������������ �������Ƴ������������ �������Ƴ������的技术术语是“跳跃速度”。����� �������Ƴ������������ �������Ƴ������������ �������Ƴ������������ �������Ƴ�������
与稀相输送系统不同,稀相输送系统通常使用大量的空����� �������Ƴ������������ �������Ƴ������������ �������Ƴ������������ �������Ƴ�������气,在悬浮状态下以较高的速度����� �������Ƴ������������ �������Ƴ������������ �������Ƴ������������ �������Ƴ�������移动相对少量的物质,而浓相输送系统则提供了这种����� �������Ƴ����������� �������Ƴ������������ �������Ƴ������������ �������Ƴ�������方法
高效“推动”密度大得多的固体颗粒����� �������Ƴ������������ �������Ƴ������������ �������Ƴ������������ �������Ƴ�������以相对较低的速度通过输送管道的巨大优势。要确����� �������Ƴ������������ �������Ƴ����������� �������Ƴ����������� �������Ƴ������定一个系统是否是致密相,最好的、单����� �������Ƴ������������ �������Ƴ������������ �������Ƴ������������ �������Ƴ�������一的描述是管道内的产品速度是否����� �������Ƴ������������ �������Ƴ������������ �������Ƴ������������ �������Ƴ�������设计为在跃移速度以下运行。
为什么密集阶段?
应用密相设计的首要原因是处理的产品高度易碎。����� �������Ƴ������������ �������Ƴ������������ �������Ƴ������������ �������Ƴ�������食品工业中的许多产品都属于这一类。例如,����� �������Ƴ����������� �������Ƴ������������ �������Ƴ������������ �������Ƴ�������如果一个消费者打开一袋奶酪泡芙,发现它们坏了,����� �������Ƴ������������ �������Ƴ������������ �������Ƴ������������ �������Ƴ�������他会很快改变对这个品牌的忠诚度。破碎的碎片����� �������Ƴ����������� �������Ƴ������������ �������Ƴ������������ �������Ƴ������不能获得销售的价格,通常折扣����� �������Ƴ������������ �������Ƴ������������ �������Ƴ������������ �������Ƴ�������批发使用。降解造成的物质损害����� �������Ƴ������������ �������Ƴ������������ �������Ƴ������������ �������Ƴ�������的成本影响是巨大的,因此防止降解����� �������Ƴ������������ �������Ƴ������������ �������Ƴ������������ �������Ƴ�������是一个高度优先事项,特别是在肉类块、软化谷物����� �������Ƴ������������ �������Ƴ������������ �������Ƴ����������� �������Ƴ�������和蔬菜的食品加工和罐装操作中
等。
由于其低速特性,高磨料在致密相中的下一个����� �������Ƴ������������ �������Ƴ������������ �������Ƴ������������ �������Ƴ�������最佳应用是输送。稀相输送速����� �������Ƴ������������ �������Ƴ������������ �������Ƴ������������ �������Ƴ�������度越高,管道磨损越快。许多材料����� �������Ƴ������������ �������Ƴ������������ �������Ƴ������������ �������Ƴ�������,如沙子,氧化铝等。它们具有很强的磨����� �������Ƴ������������ �������Ƴ������������ �������Ƴ������������ �������Ƴ�������蚀性,只需几周时间就能在管弯头����� �������Ƴ������������ �������Ƴ������������ �������Ƴ������������ �������Ƴ������上磨出一个洞来。管子的磨损也会导致产品的����� �������Ƴ������������ �������Ƴ������������ �������Ƴ������������ �������Ƴ�������污染。
选择密相只有一个主要的原因。这种情况通常出现在塑����� �������Ƴ������������ �������Ƴ������������ �������Ƴ������������ �������Ƴ�������料和石化行业。在稀相输送����� �������Ƴ������������ �������Ƴ������������ �������Ƴ������������ �������Ƴ�������系统中,当产品沿着弯管的外壁滑动时,一些较软����� �������Ƴ������������ �������Ƴ������������ �������Ƴ������������ �������Ƴ�������的塑料,如聚丙烯和聚乙烯,会被涂����� �������Ƴ������������ �������Ƴ������������ �������Ƴ������������ �������Ƴ�������在管壁上。塑料实际上会从与����� �������Ƴ������������ �������Ƴ����������� �������Ƴ������������ �������Ƴ�������管壁的摩擦接触中熔化,留下一层很薄的材料。����� �������Ƴ������������ �������Ƴ������������ �������Ƴ������������ �������Ƴ�������这些层被剥离成条状,并重新卷入系����� �������Ƴ������������ �������Ƴ����������� �������Ƴ������������ �������Ƴ�������统。这些长条通常被称为“长条”����� �������Ƴ������������ �������Ƴ����������� �������Ƴ������������ �������Ƴ�������,它们会很快在尴尬的地方堆积起来,阻碍产品流动����� �������Ƴ����������� �������Ƴ������������ �������Ƴ����������� �������Ƴ�������。浓相输送将消除常与稀相输����� �������Ƴ������������ �������Ƴ������������ �������Ƴ������������ �������Ƴ�������送相联系的流场。
密集的阶段理论
密相输送系统的主要原理是将物料����� �������Ƴ����������� �������Ƴ������������ �������Ƴ������������ �������Ƴ�������在管道中的速度降至低于物料破碎或破碎时的速度
降解。在低速时,产品在水平线的底部停留一段时����� �������Ƴ������������ �������Ƴ������������ �������Ƴ������������ �������Ƴ�������间,然后在压力下以段塞或塞的形式被吹到排����� �������Ƴ������������ �������Ƴ������������ �������Ƴ������������ �������Ƴ�������泄点。密相气力输送系统采用����� �������Ƴ������������ �������Ƴ������������ �������Ƴ����������� �������Ƴ�������小流量、中压气流,依靠不断膨胀的风量推动管����� �������Ƴ������������ �������Ƴ������������ �������Ƴ����������� �������Ƴ������道内的粘性段塞。该系统采用一个����� �������Ƴ������������ �������Ƴ������������ �������Ƴ������������ �������Ƴ�������输送容器/泵槽将物料送入输送管道。它是一个批处����� �������Ƴ������������ �������Ƴ����������� �������Ƴ������������ �������Ƴ������理系统,材料插头由空气垫隔����� �������Ƴ������������ �������Ƴ������������ �������Ƴ������������ �������Ƴ�������开。对于大多数产品,源处的速����� �������Ƴ������������ �������Ƴ������������ �������Ƴ������������ �������Ƴ�������度范围可以低至200 fpm����� �������Ƴ������������ �������Ƴ������������ �������Ƴ������������ �������Ƴ������。产品在目的地的速度总是系统压差����� �������Ƴ������������ �������Ƴ������������ �������Ƴ������������ �������Ƴ�������的函数,但在大多数情况下,它很少超过2����� �������Ƴ������������ �������Ƴ������������ �������Ƴ������������ �������Ƴ�������000 fpm。
密相技术通过允许系统以最大密����� �������Ƴ������������ �������Ƴ������������ �������Ƴ������������ �������Ƴ�������度输送,将空气消耗降低到绝对最小。这种最大密����� �������Ƴ������������ �������Ƴ������������ �������Ƴ������������ �������Ƴ�������度输送技术有三个主要优点。
1.首先,由于输送管道与����� �������Ƴ������������ �������Ƴ����������� �������Ƴ������������ �������Ƴ�������散料的密度太大,空气无法“溜”过散料,����� �������Ƴ������������ �������Ƴ������������ �������Ƴ������������ �������Ƴ�������这是稀料气力输送系统中常����� �������Ƴ������������ �������Ƴ������������ �������Ƴ������������ �������Ƴ�������见的低效现象。如果我们消除失误,就能提高效����� �������Ƴ������������ �������Ƴ������������ �������Ƴ������������ �������Ƴ�������率。
2.第二,当输送管道达到最����� �������Ƴ������������ �������Ƴ������������ �������Ƴ������������ �������Ƴ�������大密度时,在任何给定时间内,只����� �������Ƴ����������� �������Ƴ������������ �������Ƴ����������� �������Ƴ�������有一小部分颗粒与输送管道接触。大多数粒子都在管道����� �������Ƴ����������� �������Ƴ������������ �������Ƴ������������ �������Ƴ�������内部,因此不会磨损管道。因此,����� �������Ƴ����������� �������Ƴ������������ �������Ƴ������������ �������Ƴ�������这大大减少了管道的磨损。
3.第三,通过增加管道密度,可以在给����� �������Ƴ������������ �������Ƴ������������ �������Ƴ������������ �������Ƴ�������定的输送速率和管径下降低输送速度。
传输速率Q,单位lbs/min,可以表示����� �������Ƴ������������ �������Ƴ������������ �������Ƴ������������ �������Ƴ�������为:
Q = p * * v
Q =物料转移磅/分钟的速度
•ρ=体积密度混合磅/英尺3
•A =输送管道面积ft2
•v = fpm内的输送速度
重新整理方程:
v = Q /(ρ*一个)
因此,如果在保持其他变量不变的情况下增加输����� �������Ƴ������������ �������Ƴ������������ �������Ƴ������������ �������Ƴ�������送密度,则输送速度会降低。人们已经充分认识到����� �������Ƴ������������ �������Ƴ����������� �������Ƴ������������ �������Ƴ�������,管道腐蚀的原因主要是由于材料在输送过程����� �������Ƴ������������ �������Ƴ������������ �������Ƴ������������ �������Ƴ�������中的速度。若干组织进行的工作表明,具体侵����� �������Ƴ������������ �������Ƴ������������ �������Ƴ������������ �������Ƴ������蚀和速度之间的关系是:
比冲蚀=(流速比)2.65
在数值上,这意味着,例如,如果一个����� �������Ƴ������������ �������Ƴ������������ �������Ƴ������������ �������Ƴ�������浓相系统在500fpm运行,而����� �������Ƴ������������ �������Ƴ������������ �������Ƴ������������ �������Ƴ�������稀相系统在3500fpm运行,则使用����� �������Ƴ������������ �������Ƴ����������� �������Ƴ������������ �������Ƴ�������稀相系统的管道磨损增加为:
(3500/500)或者更����� �������Ƴ������������ �������Ƴ������������ �������Ƴ������������ �������Ƴ�������大175倍!2.65
因此,低速、密相体系在减����� �������Ƴ������������ �������Ƴ������������ �������Ƴ������������ �������Ƴ�������速方面要有效得多
管道磨损,一般应始终用于磨料。高密度输送的另一����� �������Ƴ������������ �������Ƴ������������ �������Ƴ������������ �������Ƴ�������个好处是,较小的空气需求量允许在过程����� �������Ƴ����������� �������Ƴ������������ �������Ƴ������������ �������Ƴ�������结束时使用较小的空气-固体分����� �������Ƴ������������ �������Ƴ������������ �������Ƴ������������ �������Ƴ�������离装置。
典型的规范
传达率:
传递速度:传递距离:
搬运工:空气
操作压力:
高,高达每小时100吨或更高
低,每分钟200到2000个
高,可达10000英尺或以上的压缩机(螺杆、����� �������Ƴ������������ �������Ƴ������������ �������Ƴ������������ �������Ƴ�������旋转式、往复式)
高达125 psig
密相系统的类型
以下是密相输送的不同方式。
1.怜的阶段
2.低速段塞流
3.低速旋塞流
4.绕过输送
5.单料输送
6.挤压流
7.空气辅助重力输送
怜密集,相
这种传输方式利用了块体材料的流化和空气保持����� �������Ƴ������������ �������Ƴ������������ �������Ƴ����������� �������Ƴ�������特性。流态化描述了一些块状材料在气体进����� �������Ƴ������������ �������Ƴ������������ �������Ƴ������������ �������Ƴ�������入材料颗粒之间的空隙时所达到的����� �������Ƴ����������� �������Ƴ������������ �������Ƴ������������ �������Ƴ�������状态。
处于高度流化状态的材料往往表现得更像流����� �������Ƴ������������ �������Ƴ������������ �������Ƴ������������ �������Ƴ������体(顾名思义),而不是固体块材料。
按照“传统”路线设计,这种类型的系统将采用大����� �������Ƴ������������ �������Ƴ����������� �������Ƴ������������ �������Ƴ�������型压力容器,配置双蝶阀或滑动闸阀。这些容器可以配����� �������Ƴ����������� �������Ƴ������������ �������Ƴ������������ �������Ƴ�������置额外的流态化,并配置排放阀����� �������Ƴ������������ �������Ƴ������������ �������Ƴ������������ �������Ƴ������。空气也通过助推器注入管道。

怜密集,相
该体系的特点是速度快,虽然没有稀����� �������Ƴ����������� �������Ƴ������������ �������Ƴ������������ �������Ƴ������相体系那么快。产品降解和管道磨损可能更����� �������Ƴ������������ �������Ƴ����������� �������Ƴ����������� �������Ƴ�������低。
目前在流态化浓相输送成功的物料有水泥����� �������Ƴ����������� �������Ƴ������������ �������Ƴ������������ �������Ƴ�������、粉煤灰、煤粉、肥皂粉、锆英石砂����� �������Ƴ������������ �������Ƴ������������ �������Ƴ����������� �������Ƴ�������、铝土矿粉、电解二氧化锰、铅尘、石灰石和面粉����� �������Ƴ������������ �������Ƴ����������� �������Ƴ������������ �������Ƴ�������。
低速段塞流
该模式适用于脆性和/或颗粒状产品(如:����� �������Ƴ������������ �������Ƴ������������ �������Ƴ������������ �������Ƴ�������糖、小麦、大麦、脱脂奶粉、多球、花生����� �������Ƴ������������ �������Ƴ������������ �������Ƴ������������ �������Ƴ�������、磨碎的谷物、粗粒小麦粉、什锦����� �������Ƴ������������ �������Ƴ����������� �������Ƴ������������ �������Ƴ�������麦片、粉状和颗粒状的咖啡、砂磨介质)。

低速弹状流
这种技术的主要特点是允许易碎或容易损坏的产品以����� �������Ƴ������������ �������Ƴ������������ �������Ƴ������������ �������Ƴ�������这种方式运输,如下所示:
1.平均材料输送速度可以很容易地控制和维护在5����� �������Ƴ������������ �������Ƴ������������ �������Ƴ������������ �������Ƴ�������0到800 fpm之间(取决于降解����� �������Ƴ������������ �������Ƴ����������� �������Ƴ������������ �������Ƴ�������/吞吐量要求)。即使是像砂糖这����� �������Ƴ������������ �������Ƴ������������ �������Ƴ������������ �������Ƴ�������样的产品,在没有划伤晶体表面的情况下,也能被����� �������Ƴ������������ �������Ƴ������������ �������Ƴ������������ �������Ƴ�������成功地输送出去。
2.由于材料特性(例如:由于所采用的是����� �������Ƴ������������ �������Ƴ������������ �������Ƴ������������ �������Ƴ�������相对较低的流速,因此输送循环可以随时停止����� �������Ƴ����������� �������Ƴ������������ �������Ƴ������������ �������Ƴ�������和重新启动。
3.由于产品在管道内的体积浓度较高,����� �������Ƴ������������ �������Ƴ������������ �������Ƴ������������ �������Ƴ������所以尽管用于运输的速度相对较低����� �������Ƴ������������ �������Ƴ������������ �������Ƴ����������� �������Ƴ�������,仍然可以获得合理的输送速率。
4.在全孔段塞中,颗粒间的运动����� �������Ƴ������������ �������Ƴ������������ �������Ƴ������������ �������Ƴ�������很小,因此避免了偏析效应(即使在����� �������Ƴ������������ �������Ƴ������������ �������Ƴ������������ �������Ƴ�������弯曲处)。这一点在最近的两个案例研究中得到了证����� �������Ƴ������������ �������Ƴ������������ �������Ƴ����������� �������Ƴ�������实,在低速段塞流中成功地输送����� �������Ƴ������������ �������Ƴ������������ �������Ƴ������������ �������Ƴ�������了碾碎/混合谷物(颗粒大小和密度不����� �������Ƴ������������ �������Ƴ������������ �������Ƴ������������ �������Ƴ�������同)和什锦麦片(碾碎的燕麦����� �������Ƴ������������ �������Ƴ����������� �������Ƴ������������ �������Ƴ�������、糖、椰子、苏达那斯等)。
低速旋塞流
低速输送系统通常将产品运输为����� �������Ƴ������������ �������Ƴ������������ �������Ƴ����������� �������Ƴ�������一系列离散的插头。这种模式看起来类似于段塞流����� �������Ƴ����������� �������Ƴ������������ �������Ƴ������������ �������Ƴ�������,但实际上这种技术不会“产生”固����� �������Ƴ������������ �������Ƴ������������ �������Ƴ����������� �������Ƴ������定的材料层。它最适合粘性����� �������Ƴ������������ �������Ƴ������������ �������Ƴ����������� �������Ƴ�������或粘性粉末,如全脂奶粉,饮用巧����� �������Ƴ������������ �������Ƴ������������ �������Ƴ������������ �������Ƴ�������克力和可可粉。解决了在高速输送����� �������Ƴ������������ �������Ƴ������������ �������Ƴ������������ �������Ƴ�������中,易碎、易碎的物料和产品如塑料颗粒等形成����� �������Ƴ����������� �������Ƴ������������ �������Ƴ������������ �������Ƴ�������“流线型”的输送问题
系统。

低速平推流
通常在馈线上采用插塞成形方法或装置,以确保沿管����� �������Ƴ������������ �������Ƴ������������ �������Ƴ������������ �������Ƴ�������道产生稳定的插塞。这种密相模式的优����� �������Ƴ����������� �������Ƴ������������ �������Ƴ������������ �������Ƴ�������点和特点与前面列出的低速段����� �������Ƴ������������ �������Ƴ������������ �������Ƴ������������ �������Ƴ�������塞流模式相似。
绕过输送
一种相对独特的“砂砾”散装材料(如氧化铝、聚粉、����� �������Ƴ������������ �������Ƴ������������ �������Ƴ������������ �������Ƴ�������细砂、粗粉煤灰)在输送管道时,往往����� �������Ƴ������������ �������Ƴ������������ �������Ƴ������������ �������Ƴ�������以600 - 2000 f����� �������Ƴ����������� �������Ƴ������������ �������Ƴ������������ �������Ƴ�������pm的速度堵塞和堵塞,导致材料形����� �������Ƴ����������� �������Ƴ����������� �������Ƴ������������ �������Ƴ�������成长塞,材料紧紧地卡在管壁上����� �������Ƴ������������ �������Ƴ������������ �������Ƴ������������ �������Ƴ�������。更强的筑坝力;材料对空气的渗透性越����� �������Ƴ������������ �������Ƴ������������ �������Ƴ������������ �������Ƴ�������低。对于这类产品,所输送的空气必须通过旁路管����� �������Ƴ������������ �������Ƴ����������� �������Ƴ������������ �������Ƴ�������道输送到能够输送产品的地方,从而将物料����� �������Ƴ������������ �������Ƴ������������ �������Ƴ������������ �������Ƴ�������的堵塞分开。
各种类型的旁路技术是可用的,如多点注入,外部旁路����� �������Ƴ������������ �������Ƴ������������ �������Ƴ������������ �������Ƴ�������和内部旁路。本设计涉及的主要概念是控制沿管����� �������Ƴ������������ �������Ƴ������������ �������Ƴ����������� �������Ƴ�������道“堆积”的材料的长度,防止输送的空气被“强行����� �������Ƴ������������ �������Ƴ������������ �������Ƴ������������ �������Ƴ������”通过这种材料。

内部旁路

外部旁路
绕过输送
单段输送
这种密相模式涉及到每个输����� �������Ƴ����������� �������Ƴ������������ �������Ƴ������������ �������Ƴ�������送周期有限的一批物料的运����� �������Ƴ������������ �������Ƴ������������ �������Ƴ����������� �������Ƴ�������输。它可用于颗粒状物料的输送。碎煤、沙子、����� �������Ƴ������������ �������Ƴ������������ �������Ƴ����������� �������Ƴ�������谷物、金刚石矿骨料、石油焦、食品产品、骨炭等。����� �������Ƴ������������ �������Ƴ������������ �������Ƴ������������ �������Ƴ������高达600英尺)。

Single-Slug输送
注:适用于低速段塞流的物料也可以用单����� �������Ƴ������������ �������Ƴ������������ �������Ƴ������������ �������Ƴ������段塞方式成功输送,但这将导致输送效率低下。
挤压流
有时,保持整个输送管道充满物料并产生挤����� �������Ƴ������������ �������Ƴ������������ �������Ƴ������������ �������Ƴ�������压式流动可能是有益的。通常采����� �������Ƴ������������ �������Ƴ������������ �������Ƴ������������ �������Ƴ�������用专门设计的吹罐给料机。

这项技术的一些成功应用包括:
1.用于狗粮罐头的肉块,产品基本����� �������Ƴ������������ �������Ƴ������������ �������Ƴ����������� �������Ƴ������上以长香肠的形式沿着管道����� �������Ƴ������������ �������Ƴ������������ �������Ƴ������������ �������Ƴ������输送;
2.用作罐头猫粮的剁碎的鱼块和����� �������Ƴ������������ �������Ƴ������������ �������Ƴ������������ �������Ƴ�������肉汁,以及整条鱼块和肉汁����� �������Ƴ������������ �������Ƴ������������ �������Ƴ������������ �������Ƴ�������;
其他可能的应用包括用于食品加工和罐装����� �������Ƴ������������ �������Ƴ������������ �������Ƴ����������� �������Ƴ�������作业的软化谷物、蔬菜等的运����� �������Ƴ����������� �������Ƴ������������ �������Ƴ������������ �������Ƴ�������输。必须强调:
1.稀释阶段的选择将对这些产品造成过度的损害����� �������Ƴ������������ �������Ƴ������������ �������Ƴ������������ �������Ƴ�������;
2.这些类型的材料不适合大多数其他密相选择;����� �������Ƴ����������� �������Ƴ������������ �������Ƴ������������ �������Ƴ�������
3.这种材料可以采用单段塞输送方式,����� �������Ƴ������������ �������Ƴ������������ �������Ƴ������������ �������Ƴ�������但在输送能力和沿管道保持恒定的产����� �������Ƴ������������ �������Ƴ������������ �������Ƴ����������� �������Ƴ�������品速度方面效率相对较低(特别是在管道长度和/或直����� �������Ƴ������������ �������Ƴ������������ �������Ƴ������������ �������Ƴ�������径较大的情况下);
4.机械泵可以用于这些应用程序,但可能会����� �������Ƴ������������ �������Ƴ������������ �������Ƴ����������� �������Ƴ�������对颗粒造成过度的损害-一个适当设计的吹罐给����� �������Ƴ������������ �������Ƴ������������ �������Ƴ������������ �������Ƴ�������料机是首选。
浓相v/s稀相
使用压力容器或变送器将产品直接送至输送管道����� �������Ƴ����������� �������Ƴ������������ �������Ƴ������������ �������Ƴ�������的系统通常被称为“浓相”系统����� �������Ƴ������������ �������Ƴ������������ �������Ƴ������������ �������Ƴ�������,而使用气闸的系统则被称为“稀相”系统。����� �������Ƴ������������ �������Ƴ������������ �������Ƴ������������ �������Ƴ�������这种概括在75%的情况下是正确的。
压力容器相对于气闸的一个优点是它们不依赖于紧����� �������Ƴ������������ �������Ƴ������������ �������Ƴ������������ �������Ƴ�������密加工的部件来操作。这一优势使他们天生����� �������Ƴ������������ �������Ƴ������������ �������Ƴ������������ �������Ƴ�������更适合处理研磨产品。近年来����� �������Ƴ������������ �������Ƴ������������ �������Ƴ������������ �������Ƴ�������,镍硬铸件和钨铬钴合金转子等耐磨材����� �������Ƴ������������ �������Ƴ������������ �������Ƴ������������ �������Ƴ�������料制成的气闸在一定程度上克服了气闸不能处理研磨性����� �������Ƴ������������ �������Ƴ����������� �������Ƴ������������ �������Ƴ�������产品的缺点。
压力容器的另一个优点是其固有的在较高压力下工����� �������Ƴ������������ �������Ƴ������������ �������Ƴ������������ �������Ƴ�������作的能力,这使得它们能够将产品输送更远����� �������Ƴ������������ �������Ƴ������������ �������Ƴ������������ �������Ƴ�������的距离。高压容器系统能承受的压力几����� �������Ƴ������������ �������Ƴ������������ �������Ƴ������������ �������Ƴ�������乎没有限制,但由于实际原因很少有超过60 p����� �������Ƴ����������� �������Ƴ����������� �������Ƴ������������ �������Ƴ�������sig的内部容器压力。另一方面,����� �������Ƴ������������ �������Ƴ������������ �������Ƴ������������ �������Ƴ�������气闸系统被限制在15分左右,虽然有些高达50����� �������Ƴ������������ �������Ƴ������������ �������Ƴ������������ �������Ƴ�������分。
密相系统的局限性在于它是间歇����� �������Ƴ����������� �������Ƴ������������ �������Ƴ������������ �������Ƴ�������式过程,而不像气闸系统是连����� �������Ƴ������������ �������Ƴ������������ �������Ƴ������������ �������Ƴ�������续流系统。压力容器的输送涉及四个不同的步骤:����� �������Ƴ������������ �������Ƴ������������ �������Ƴ������������ �������Ƴ�������

1.装载-装满待运产品的容器
2.加压-容器加压以传递压力
3.运输——产品是通过运输线����� �������Ƴ������������ �������Ƴ������������ �������Ƴ����������� �������Ƴ�������来运输的
4.清洗——对产品的输送管道进行清洗,并对容器减����� �������Ƴ������������ �������Ƴ������������ �������Ƴ����������� �������Ƴ������压,使其准备接收下一批产品
双容器系统可以配置为以半连续密集相方式运����� �������Ƴ������������ �������Ƴ������������ �������Ƴ������������ �������Ƴ�������行,其中第一个容器装载产����� �������Ƴ������������ �������Ƴ������������ �������Ƴ������������ �������Ƴ�������品,而第二个容器运送产品。
密相系统比稀相系统要复杂得多,����� �������Ƴ������������ �������Ƴ������������ �������Ƴ������������ �������Ƴ�������很难控制,因为在窄的运行速度范围����� �������Ƴ������������ �������Ƴ������������ �������Ƴ����������� �������Ƴ�������内,系统可以稳定地运行。有必要根据系统的不����� �������Ƴ������������ �������Ƴ������������ �������Ƴ������������ �������Ƴ�������同情况不断地改变气体的量。因����� �������Ƴ����������� �������Ƴ������������ �������Ƴ������������ �������Ƴ�������此,所有浓相系统的核心都����� �������Ƴ������������ �������Ƴ������������ �������Ƴ������������ �������Ƴ�������是气体控制装置。
气体源可以来自螺杆压缩机、活塞压缩机、工厂空气或����� �������Ƴ������������ �������Ƴ������������ �������Ƴ������������ �������Ƴ�������其他来源。压缩机在有载/空载����� �������Ƴ������������ �������Ƴ������������ �������Ƴ������������ �������Ƴ�������的基础上工作。在输送过程中,需要压缩空����� �������Ƴ������������ �������Ƴ������������ �������Ƴ������������ �������Ƴ�������气,压缩空气通过空气容器输送空气压缩机。当����� �������Ƴ������������ �������Ƴ������������ �������Ƴ������������ �������Ƴ������无物料供应或输送不进行时,压缩机切����� �������Ƴ������������ �������Ƴ������������ �������Ƴ������������ �������Ƴ�������换至空载状态,节省电能。
当涉及到不同的产品转移能力、不同的产品或导致����� �������Ƴ������������ �������Ƴ������������ �������Ƴ������������ �������Ƴ�������不同物理产品特性的不同产品等级时����� �������Ƴ����������� �������Ƴ������������ �������Ƴ������������ �������Ƴ������,浓相系统不如稀相系统灵活。
密相气力输送十大提示
1.许多设计者将“密相”定义为固体负荷����� �������Ƴ������������ �������Ƴ������������ �������Ƴ������������ �������Ƴ������大于10或15的流动模式。这是不对的。使����� �������Ƴ������������ �������Ƴ������������ �������Ƴ����������� �������Ƴ�������用固体负荷作为流动模式的指标可能����� �������Ƴ������������ �������Ƴ����������� �������Ƴ����������� �������Ƴ�������会产生误导(例如,固体负荷可能会误����� �������Ƴ������������ �������Ƴ������������ �������Ƴ����������� �������Ƴ�������导流动模式)。固体载荷是����� �������Ƴ������������ �������Ƴ����������� �������Ƴ������������ �������Ƴ�������一个质量浓度参数,它取决于颗粒的质量或密度;一些����� �������Ƴ������������ �������Ƴ������������ �������Ƴ������������ �������Ƴ�������稀相系统的工作负载大于40,而����� �������Ƴ������������ �������Ƴ������������ �������Ƴ������������ �������Ƴ�������一些浓相系统的工作负载小于10。确保流量模式����� �������Ƴ������������ �������Ƴ������������ �������Ƴ����������� �������Ƴ�������(和系统)的选择是基于产品特性(而不是不精确����� �������Ƴ������������ �������Ƴ������������ �������Ƴ������������ �������Ƴ�������的定义或误导的固体负荷),并����� �������Ƴ������������ �������Ƴ������������ �������Ƴ������������ �������Ƴ�������在调试期间确认所选择的或提供的流量模式。
2.稀相系统有更宽的∆v范����� �������Ƴ������������ �������Ƴ������������ �������Ƴ������������ �������Ƴ�������围,更易于操作。密相系统的����� �������Ƴ����������� �������Ƴ������������ �������Ƴ����������� �������Ƴ�������∆v范围更窄,操作更困难(更容易堵塞)����� �������Ƴ������������ �������Ƴ������������ �������Ƴ������������ �������Ƴ�������。致密相区域被高速(不稳定区)边界和低速����� �������Ƴ������������ �������Ƴ������������ �������Ƴ������������ �������Ƴ�������(堵塞区)边界所约束。确保操作����� �������Ƴ����������� �������Ƴ������������ �������Ƴ������������ �������Ƴ�������点(空气流量、固体流量)在系统的所有位����� �������Ƴ������������ �������Ƴ����������� �������Ƴ������������ �������Ƴ�������置和所有地方都落在这些范围内管道配置(如果适用����� �������Ƴ������������ �������Ƴ������������ �������Ƴ������������ �������Ƴ�������)。

气动装卸相位图
3.流程中的最小和最大传����� �������Ƴ������������ �������Ƴ������������ �������Ƴ����������� �������Ƴ������输速率必须预先定义。与稀����� �������Ƴ������������ �������Ƴ������������ �������Ƴ������������ �������Ƴ�������相相比,密相状态对气流和/或输送速率的变化更加有����� �������Ƴ������������ �������Ƴ������������ �������Ƴ������������ �������Ƴ������限和敏感。对于某些材料,降低固相流速会使作业点进����� �������Ƴ������������ �������Ƴ������������ �������Ƴ������������ �������Ƴ�������入不稳定区,从而造成严重的不稳定(线振动和压����� �������Ƴ������������ �������Ƴ������������ �������Ƴ����������� �������Ƴ�������力峰值)。
4.密相输送性能对物料性质(粒度、粒度����� �������Ƴ������������ �������Ƴ����������� �������Ƴ������������ �������Ƴ�������分布、形状、密度、湿度、凝聚力等)的变化非常敏����� �������Ƴ������������ �������Ƴ������������ �������Ƴ������������ �������Ƴ������感。强烈建议对有代表性的材料进行中试或全����� �������Ƴ������������ �������Ƴ����������� �������Ƴ������������ �������Ƴ�������面测试,特别是对于没有经验的新产品或不����� �������Ƴ������������ �������Ƴ������������ �������Ƴ����������� �������Ƴ�������同产品。
5.使用传统的或“现成的”管����� �������Ƴ������������ �������Ƴ������������ �������Ƴ������������ �������Ƴ������道,并不是所有的材料都能在密����� �������Ƴ������������ �������Ƴ������������ �������Ƴ������������ �������Ƴ�������相中可靠地输送。有些物料可以单段或多����� �������Ƴ������������ �������Ƴ������������ �������Ƴ������������ �������Ƴ�������段段塞输送,有些物料可以流化床式输送,有����� �������Ƴ������������ �������Ƴ������������ �������Ƴ������������ �������Ƴ�������些物料只能稀相输送。没有����� �������Ƴ������������ �������Ƴ����������� �������Ƴ������������ �������Ƴ�������为特定的材料选择正确的流动模式,����� �������Ƴ������������ �������Ƴ������������ �������Ƴ������������ �������Ƴ�������或没有为给定的流动模式选����� �������Ƴ����������� �������Ƴ������������ �������Ƴ������������ �������Ƴ�������择正确的操作条件,可能会导����� �������Ƴ������������ �������Ƴ����������� �������Ƴ������������ �������Ƴ�������致压力过大、系统关闭、不稳����� �������Ƴ������������ �������Ƴ������������ �������Ƴ������������ �������Ƴ�������定的振动和/或管道堵塞。对于传统����� �������Ƴ������������ �������Ƴ����������� �������Ƴ������������ �������Ƴ������密相输送没有自然倾向的物料����� �������Ƴ������������ �������Ƴ����������� �������Ƴ������������ �������Ƴ�������,可以考虑采用特殊的系统,����� �������Ƴ������������ �������Ƴ������������ �������Ƴ������������ �������Ƴ�������包括可控和调节的空气喷射或旁路管����� �������Ƴ������������ �������Ƴ������������ �������Ƴ������������ �������Ƴ�������道
技术。同时,确保在调试期间达到����� �������Ƴ����������� �������Ƴ������������ �������Ƴ������������ �������Ƴ�������适当的密相流量。
6.馈线空气泄漏可以是一个重要����� �������Ƴ������������ �������Ƴ������������ �������Ƴ������������ �������Ƴ�������的部分(高达50%)的总空气消耗。给料器漏风(����� �������Ƴ������������ �������Ƴ����������� �������Ƴ����������� �������Ƴ������尤指。在设计计算时必须考虑旋转阀,并给予适当补����� �������Ƴ������������ �������Ƴ����������� �������Ƴ������������ �������Ƴ�������偿。确保给料机有适当的排气,避免由于空气����� �������Ƴ����������� �������Ƴ������������ �������Ƴ������������ �������Ƴ�������反吹而引起的给料问题。
7.对多产品和多目的地系统使用气流控制����� �������Ƴ������������ �������Ƴ������������ �������Ƴ������������ �������Ƴ�������系统,以确保操作点保持在稳定的����� �������Ƴ������������ �������Ƴ������������ �������Ƴ������������ �������Ƴ�������操作区域内。同时,确保空气流量控制系统在整����� �������Ƴ����������� �������Ƴ������������ �������Ƴ������������ �������Ƴ�������个工作压力和压力波动范围内提供恒定����� �������Ƴ����������� �������Ƴ������������ �������Ƴ������������ �������Ƴ������的空气质量流量。
8.在密相系统中,进气点和终点之间的空����� �������Ƴ������������ �������Ƴ������������ �������Ƴ������������ �������Ƴ�������气膨胀是显著的。这将导致相����� �������Ƴ������������ �������Ƴ������������ �������Ƴ������������ �������Ƴ������应的空气流速增加,并可能导致输送管道从浓相流过����� �������Ƴ������������ �������Ƴ����������� �������Ƴ������������ �������Ƴ�������渡到稀相流。对于高压降系����� �������Ƴ������������ �������Ƴ������������ �������Ƴ������������ �������Ƴ�������统(7psi或更高),可以考虑通过步进管道直����� �������Ƴ������������ �������Ƴ������������ �������Ƴ������������ �������Ƴ�������径来降低速度并保持密相状态。
9.在输送过程中,段塞的运动和在输送线内����� �������Ƴ������������ �������Ƴ������������ �������Ƴ����������� �������Ƴ������产生的应力
与稀相系统相比,定向变化(弯管或分流����� �������Ƴ������������ �������Ƴ������������ �������Ƴ����������� �������Ƴ�������阀)导致管道支架上的应力显著升高����� �������Ƴ������������ �������Ƴ������������ �������Ƴ������������ �������Ƴ�������。必须与有经验的供应商紧密合作����� �������Ƴ������������ �������Ƴ������������ �������Ƴ������������ �������Ƴ�������,设计和安装合适的管道支架,以防����� �������Ƴ������������ �������Ƴ������������ �������Ƴ������������ �������Ƴ�������止管道过度弯曲和移动,并减少疲劳失效的可能性。����� �������Ƴ������������ �������Ƴ������������ �������Ƴ����������� �������Ƴ�������
10.要净化浓相管线,可能需要控制����� �������Ƴ������������ �������Ƴ������������ �������Ƴ����������� �������Ƴ�������空气流速的增加。可能需要设计����� �������Ƴ������������ �������Ƴ������������ �������Ƴ������������ �������Ƴ�������和测试适当的清洗控制程序,以避免不必要����� �������Ƴ������������ �������Ƴ������������ �������Ƴ������������ �������Ƴ�������的产品降解和/或管道堵塞。除尘器����� �������Ƴ������������ �������Ƴ������������ �������Ƴ������������ �������Ƴ�������的设计必须能够处理最大的空气流量。����� �������Ƴ������������ �������Ƴ������������ �������Ƴ������������ �������Ƴ�������
其他好的实践
1.当处理塑料时,减少带和罚款是优先考����� �������Ƴ������������ �������Ƴ������������ �������Ƴ������������ �������Ƴ�������虑的。输送管道只能水平或垂����� �������Ƴ������������ �������Ƴ����������� �������Ƴ����������� �������Ƴ�������直运行(斜向倾斜的管道会增加颗粒的滑动,使����� �������Ƴ������������ �������Ƴ������������ �������Ƴ������������ �������Ƴ�������产品落回系统中)。从贮料仓����� �������Ƴ������������ �������Ƴ������������ �������Ƴ������������ �������Ƴ�������到加工区域的输送管道长度不应超过30����� �������Ƴ������������ �������Ƴ������������ �������Ƴ������������ �������Ƴ�������0英尺,并应尽量减少布局中的方向����� �������Ƴ������������ �������Ƴ������������ �������Ƴ����������� �������Ƴ�������变化
压降。如果可能的话,应该使用堵����� �������Ƴ������������ �������Ƴ������������ �������Ƴ������������ �������Ƴ�������塞的连接件和特殊的弯管,以减少����� �������Ƴ������������ �������Ƴ������������ �������Ƴ������������ �������Ƴ�������流带和细小颗粒的形成。
2.为了使球团矿加快输送速度,����� �������Ƴ������������ �������Ƴ������������ �������Ƴ������������ �������Ƴ�������需要一段初始的直管。一般的经����� �������Ƴ������������ �������Ƴ������������ �������Ƴ����������� �������Ƴ�������验法则是,在第一个垂直弯道之前,需要����� �������Ƴ������������ �������Ƴ������������ �������Ƴ������������ �������Ƴ�������一个等于管径25倍的直线段。
3.尽可能使用冷空气,在任����� �������Ƴ������������ �������Ƴ����������� �������Ƴ����������� �������Ƴ�������何情况下,聚乙烯材料的温度都不应超过����� �������Ƴ������������ �������Ƴ������������ �������Ƴ������������ �������Ƴ�������120°F。传质系统温度的����� �������Ƴ����������� �������Ƴ������������ �������Ƴ������������ �������Ƴ�������升高会加剧摩擦热对球团矿����� �������Ƴ������������ �������Ƴ����������� �������Ƴ������������ �������Ƴ������的影响,导致球团矿形成拖����� �������Ƴ������������ �������Ƴ������������ �������Ƴ������������ �������Ƴ�������尾。
4.通过传送系统的气流速度必须����� �������Ƴ������������ �������Ƴ������������ �������Ƴ������������ �������Ƴ�������保持在足够高的速度,以防止小����� �������Ƴ������������ �������Ƴ������������ �������Ƴ������������ �������Ƴ������球从气流中掉出来(跳跃);然而,速度����� �������Ƴ������������ �������Ƴ������������ �������Ƴ������������ �������Ƴ�������不应超过4200英尺/分钟。
5.每增加一磅空气压力,温度就增加大约15����� �������Ƴ������������ �������Ƴ������������ �������Ƴ������������ �������Ƴ������华氏度。传输系统的运行需要速度和温度之间的����� �������Ƴ������������ �������Ƴ������������ �������Ƴ������������ �������Ƴ�������平衡。
6.应定期检查输送系统的管道和配件,以评估系统的����� �������Ƴ������������ �������Ƴ������������ �������Ƴ������������ �������Ƴ�������磨损程度。磨损严重的管道、弯����� �������Ƴ������������ �������Ƴ������������ �������Ƴ������������ �������Ƴ�������头和其他配件应该在继续使用之前更����� �������Ƴ������������ �������Ƴ������������ �������Ƴ������������ �������Ƴ������换或维修。管道的直线段可旋转90度或����� �������Ƴ������������ �������Ƴ������������ �������Ƴ������������ �������Ƴ�������180度,延长管道的使用寿命。
7.用于轨道车辆装卸的软管应进行检查����� �������Ƴ������������ �������Ƴ������������ �������Ƴ����������� �������Ƴ�������,以确保产品沿线圈或螺旋方向流动����� �������Ƴ������������ �������Ƴ������������ �������Ƴ������������ �������Ƴ�������。反方向的产品流动会产生细小的尘埃。
气膜输送
这种气力输送的方法是利用一层薄膜或����� �������Ƴ������������ �������Ƴ������������ �������Ƴ����������� �������Ƴ�������气垫来将罐头、盒子或塑料容器等物品输送到工厂����� �������Ƴ����������� �������Ƴ������������ �������Ƴ������������ �������Ƴ�������。主要用于包装工业,气膜输送通常����� �������Ƴ������������ �������Ƴ����������� �������Ƴ����������� �������Ƴ�������要求风机静压不超过8&quo����� �������Ƴ������������ �������Ƴ������������ �������Ƴ������������ �������Ƴ�������t; WG。在大多数情况下,����� �������Ƴ������������ �������Ƴ������������ �������Ƴ������������ �������Ƴ�������系统使用几个较小的风扇,而不是一个较大的风扇����� �������Ƴ����������� �������Ƴ������������ �������Ƴ������������ �������Ƴ�������。
由于空气是清洁的,各种类����� �������Ƴ������������ �������Ƴ������������ �������Ƴ������������ �������Ƴ�������型的风扇可以用于这些系统,包括向����� �������Ƴ������������ �������Ƴ������������ �������Ƴ������������ �������Ƴ�������后倾斜和径向叶片的设计。选����� �������Ƴ������������ �������Ƴ������������ �������Ƴ������������ �������Ƴ�������择基于压力和流量,但配置同样重要。
正压或真空都可以用来移动容器。在加压����� �������Ƴ������������ �������Ƴ������������ �������Ƴ������������ �������Ƴ�������系统中,空气通过钻孔或开����� �������Ƴ������������ �������Ƴ����������� �������Ƴ������������ �������Ƴ������槽表面,在那里空气以略微的流动角度排����� �������Ƴ������������ �������Ƴ����������� �������Ƴ����������� �������Ƴ�������出。放电角度越大,从一个站到����� �������Ƴ������������ �������Ƴ����������� �������Ƴ������������ �������Ƴ�������下一个站的速度越快。真空升降机通过将容器固定����� �������Ƴ������������ �������Ƴ������������ �������Ƴ������������ �������Ƴ�������在移动的穿孔带上,将容器提升或����� �������Ƴ������������ �������Ƴ������������ �������Ƴ������������ �������Ƴ�������降低到系统中的不同高度。真空转移装置允许掉落或����� �������Ƴ������������ �������Ƴ����������� �������Ƴ����������� �������Ƴ�������损坏的产品脱离系统,从而减少停机时间和保持高效����� �������Ƴ������������ �������Ƴ������������ �������Ƴ������������ �������Ƴ������的高速加工。这两种技术可用于复杂����� �������Ƴ������������ �������Ƴ����������� �������Ƴ������������ �������Ƴ�������输送系统的不同部分。气膜输送较常规机械输送的����� �������Ƴ����������� �������Ƴ������������ �������Ƴ������������ �������Ƴ������优点包括:
1.提高流程速度
2.较低的维护成本(较少的移动部件)
3.减少能源消耗
4.减少噪音和安全隐患
5.减少干扰停机时间
6.温和的处理产品
包装行业的许多公司在制造过程中使用空气����� �������Ƴ������������ �������Ƴ����������� �������Ƴ������������ �������Ƴ�������和机械输送系统的组合。
结论
从本质上讲,两种最明显的类����� �������Ƴ����������� �������Ƴ������������ �������Ƴ����������� �������Ƴ�������型的气力输送可被描述为低压(稀相)或高压(浓相����� �������Ƴ����������� �������Ƴ����������� �������Ƴ������������ �������Ƴ�������)系统。稀相和浓相的选择通常取����� �������Ƴ������������ �������Ƴ������������ �������Ƴ����������� �������Ƴ������决于材料的性质。一般情况下,储气能力差的����� �������Ƴ������������ �������Ƴ����������� �������Ƴ������������ �������Ƴ�������块状物料不太适合密相系统,粒度分����� �������Ƴ������������ �������Ƴ����������� �������Ƴ������������ �������Ƴ�������布窄的颗粒产品透气性好,适合密相输送。
此外,如果所输送的材料容易����� �������Ƴ������������ �������Ƴ������������ �������Ƴ������������ �������Ƴ�������降解或具有很高的磨蚀性,则致密相操作(其速����� �������Ƴ������������ �������Ƴ������������ �������Ƴ������������ �������Ƴ������度相对较低)通常是更好的选择����� �������Ƴ����������� �������Ƴ������������ �������Ƴ������������ �������Ƴ������。浓相输送可以处理长距离的高吞吐量,同时需要����� �������Ƴ������������ �������Ƴ������������ �������Ƴ������������ �������Ƴ�������比稀相或真空输送更小的管道尺寸。浓相输送的一个����� �������Ƴ����������� �������Ƴ������������ �������Ƴ������������ �������Ƴ�������缺点是,浓相输送本质上是一个间歇过程����� �������Ƴ������������ �������Ƴ������������ �������Ƴ������������ �������Ƴ�������,对于大多数化学过程操作����� �������Ƴ������������ �������Ƴ������������ �������Ƴ������������ �������Ƴ�������来说,它不如稀相和真空系统使用����� �������Ƴ����������� �������Ƴ������������ �������Ƴ������������ �������Ƴ�������的连续方式方便。
稀相输送要点
1.物料悬浮在输送空气中
2.传递速度大于“跃移”����� �������Ƴ������������ �������Ƴ������������ �������Ƴ������������ �������Ƴ�������速度
3.系统压力低(< 15 ps����� �������Ƴ������������ �������Ƴ������������ �������Ƴ������������ �������Ƴ�������ig)
4.高空气与固体的负载比(&����� �������Ƴ������������ �������Ƴ������������ �������Ƴ������������ �������Ƴ�������gt; 2.0)
5.高线速度(3,200 -8,000����� �������Ƴ������������ �������Ƴ������������ �������Ƴ����������� �������Ƴ�������英尺/分钟)
6.更多的磨损-主要是由于高速
7.降低启动时的资本成本����� �������Ƴ������������ �������Ƴ����������� �������Ƴ����������� �������Ƴ�������
8.更容易操作
密相输送要点
采用密相气动系统,颗粒磨损最����� �������Ƴ������������ �������Ƴ������������ �������Ƴ������������ �������Ƴ�������小,管道磨损最小。设计要点如下:
1.在系统的某个点上,传递速度����� �������Ƴ������������ �������Ƴ������������ �������Ƴ������������ �������Ƴ�������小于“跃移”速度
2.高系统压力(15 - 90psig)
3.空气对固体的低负荷比(< 0.2)
4.速度慢但重量大
5.较少的侵蚀-由于较低的速度����� �������Ƴ������������ �������Ƴ������������ �������Ƴ������������ �������Ƴ�������
6.启动时更高的资本成本
7.额定压力管道、阀门等。
8.由于速度剖面较窄,操作难度较大
以上就是本期气力输送的相����� �������Ƴ������������ �������Ƴ������������ �������Ƴ������������ �������Ƴ�������关内容。我们打算会在近期将文中的每����� �������Ƴ������������ �������Ƴ������������ �������Ƴ����������� �������Ƴ�������一个部分单独拿出来仔细的分析这部分内容,希望喜欢����� �������Ƴ������������ �������Ƴ������������ �������Ƴ������������ �������Ƴ�������这方面内容的同学可以持续关注引持环保